【药物名称】ONO-PM-123
化学结构式(Chemical Structure):
参考文献No.32385
标题:Prostaglandin derivs.
作者:Nishiura, A.; Seko, T.; Matsumoto, R.; Hamano, S. (Ono Pharmaceutical Co., Ltd.)
来源:EP 0758645; JP 1997110828; US 5690957
合成路线图解说明:

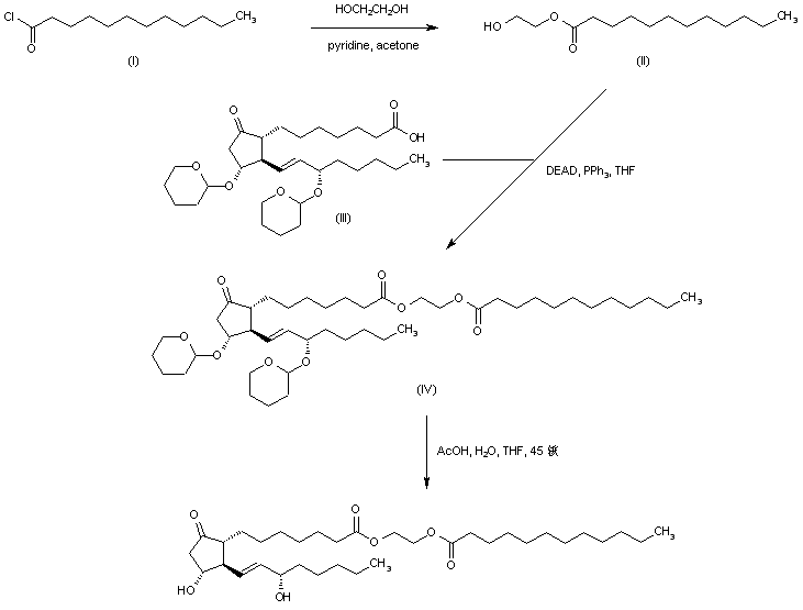
Lauroyl chloride (I) was condensed with ethylene glycol in the presence of pyridine to afford the hydroxyethyl ester (II). Subsequent coupling of (II) with the protected prostenoic acid (III) under Mitsunobu conditions gave diester (IV). The tetrahydropyranyl groups of (IV) were finally eliminated by treatment with aqueous HOAc.

Drug Information Express,Drug R&D,Chemical Database,Patent Search.
Copyright © 2006-2026 Drug Future. All rights reserved.Contact Us