【药物名称】Nepicastat hydrochloride, RS-25560-197
化学结构式(Chemical Structure):
参考文献No.33341
标题:Benzocycloalkylazolethione derivs.
作者:Martinez, G.R.; Repke, D.B.; Teitelbaum, P.J.; Walker, K.A.M.; Gooding, O.W.; Whiting, R.L.; Bansal, R.P.; Muehldorf, A.V. (Syntex (USA), Inc.)
来源:JP 1997512269; US 5438150; WO 9529165
合成路线图解说明:

Reaction of L-aspartic acid (I) with trifluoroacetic acid and trifluoroacetic anhydride afforded N-trifluoroacetyl-L-aspartic anhydride (II). Then, Friedel-Crafts acylation of 1,3-difluorobenzene (III) with this anhydride in the presence of AlCl3 gave ketone (IV). The reduction of the carbonyl group of (IV) was effected by catalytic hydrogenation in the presence of Pearlman's catalyst, and the resulting phenylbutyric acid (V) was converted to acid chloride on treatment with PCl5 in cold dichloromethane, and subsequently cyclized by addition of AlCl3 to yield tetralone (VI). Hydrogenolysis of (VI) in the presence of Pearlman's catalyst gave tetrahydronaphthalene (VII), and further hydrolysis of trifluoroacetamide with LiOH yielded (S)-5,7-difluoro-1,2,3,4-tetrahydronaphthalen-2-yl amine (VIII). Imidazole ring was then constructed by treatment of this amine with 1,3-dihydroxyacetone (IX) and potassium thiocyanate in acidic medium, and the hydroxyl group of the resulting X was substituted by a formamido group by either heating in formamide at 175 C or with ammonium formate. Finally, formamide (XI) was hydrolyzed in refluxing isopropanolic HCl.

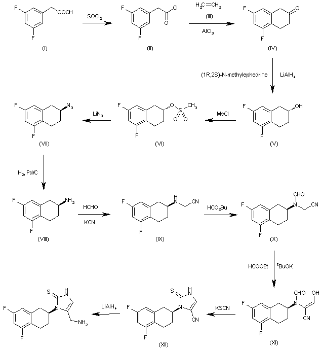
合成路线图解说明:

The reaction of 3,5-difluorophenylacetic acid with SOCl2 gives the corresponding acyl chloride (II), which is cyclized with ethylene (III) by means of AlCl3 in dichloromethane yielding the tetralone (IV). The stereoselective reduction of (IV) with LiAlH4 catalyzed by (1R,2S)-N-methylephedrine affords 5,7-difluoro-1,2,3,4-tetrahydro-2(R)-naphthol (V). The reaction of (V) with methanesulfonyl chloride and triethylamine gives the expected mesylate (VI), which is treated with LiN3 in DMF yielding the 2(S)-azide (VII). The reduction of (VII) with H2 over Pd/C in ethyl acetate affords the corresponding amine (VIII), which is treated with formaldehyde and KCN to give the 2-aminoacetonitrile (IX). The acylation of (IX) with butyl formate in refluxing acetonitrile yields the formamide (X), with is treated with ethyl formate and potassium tert-butoxide in THF to afford the hydroxyvinyl derivative (XI). The cyclization of (XI) with potassium thiocyanate in hot ethanol gives 1-(5,7-difluoro-1,2,3,4-tetrahydro naphthalen-2(S)-yl)-2-thioxo-2,3-dihydro-1H-imidazole-5-carbonitrile (XII), which is finally reduced with LiAlH4 in THF.

Drug Information Express,Drug R&D,Chemical Database,Patent Search.
Copyright © 2006-2026 Drug Future. All rights reserved.Contact Us