【药物名称】
化学结构式(Chemical Structure):
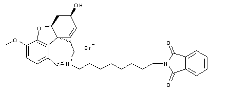
参考文献No.476356
标题:Potent acetylcholinesterase inhibitors: Design, synthesis, and structure-activity relationships of bis-interacting ligands in the galanthamine series
作者:Mary, A.; Renko, D.Z.; Guillou, C.; Thal, C.
来源:Bioorg Med Chem 1998,6(10),1835
合成路线图解说明:

Alkylation of potassium phthalimide (I) with an excess of 1,8-dibromooctane (II) in refluxing acetone afforded N-(8-bromooctyl)phthalimide (III). This was condensed with 6-O-demethylgalanthamine (IV) in the presence of Et3N in boiling acetonitrile to give phthalimidooctyl compound (V). Finally, reaction with N-bromosuccinimide in the presence of azobisisobutyronitrile provided the iminium bromide.

合成路线图解说明:

Alkylation of potassium phthalimide (I) with an excess of 1,10-dibromodecane (II) in refluxing acetone afforded N-(10-bromodecyl)phthalimide (III). This was condensed with 6-O-demethylgalanthamine (IV) in the presence of Et3N in boiling acetonitrile to give phthalimidodecyl compound (V). Finally, reaction with N-bromosuccinimide in the presence of azobisisobutyronitrile provided the iminium bromide.

Drug Information Express,Drug R&D,Chemical Database,Patent Search.
Copyright © 2006-2026 Drug Future. All rights reserved.Contact Us