【药物名称】ORG-22110(monohydrochloride), ORG-23366
化学结构式(Chemical Structure):
参考文献No.32411
标题:Diphenylmethylene piperidine derivs.
作者:Rae, D.R.; Jaap, D.R. (Akzo Nobel N.V.)
来源:EP 0842170; JP 1999508907; US 5935974; WO 9703065
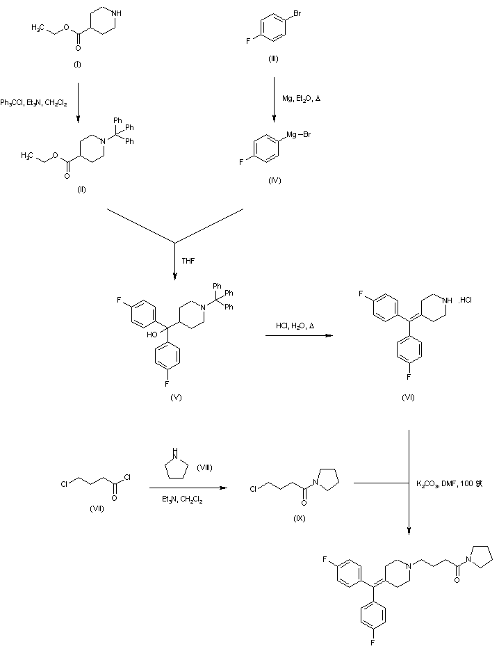
合成路线图解说明:

Ethyl isonipecotate (I) was protected as the N-trityl derivative (II) using triphenylmethyl chloride and triethylamine. Addition of Grignard reagent (IV) (prepared from 1-bromo-4-fluorobenzene (III) and magnesium in Et2O) to (II) produced the diaryl carbinol (V). Alcohol dehydration with simultaneous trityl group cleavage under acidic conditions yielded 4-[bis(4-fluorophenyl)methylene]piperidine (VI). 4-Chlorobutyrylpyrrolidine (IX), prepared by coupling of 4-chlorobutyryl chloride (VII) and pyrrolidine (VIII), was then condensed with piperidine (VI) to yield the target compound.

Drug Information Express,Drug R&D,Chemical Database,Patent Search.
Copyright © 2006-2026 Drug Future. All rights reserved.Contact Us