【药物名称】SRA-880, NVP-SRA-880
化学结构式(Chemical Structure):
参考文献No.32407
标题:Benzo[g]quinoline derivs.
作者:Neumann, P.; Pfaeffli, P.; Seiler, M.P.; Swoboda, R. (Novartis AG; Novartis Deutschland GmbH)
来源:EP 0839136; JP 1999509197; US 5885988; WO 9703054
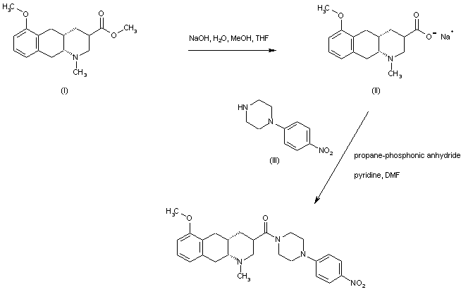
合成路线图解说明:

The benzoquinoline carboxylate ester (I) is hydrolyzed with NaOH to produce the sodium carboxylate salt (II). Activation of (II) with propane-phosphonic anhydride, followed by coupling with N-(4-nitrophenyl)piperazine (III) furnishes the corresponding amide.

Drug Information Express,Drug R&D,Chemical Database,Patent Search.
Copyright © 2006-2026 Drug Future. All rights reserved.Contact Us