【药物名称】Luliconazole, PR-2699, NND-502
化学结构式(Chemical Structure):
参考文献No.32395
标题:Antifungal agent, cpd. therefor, process for producing the same
作者:Kodama, H.; Niwano, Y.; Kanai, K.; Yoshida, M. (Nihon Nohyaku Co., Ltd.)
来源:JP 1997100279; JP 1998158168; US 5900488; WO 9702821
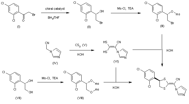
合成路线图解说明:

This compound has been obtained by two similar ways: The enantiocontrolled reduction of 2,4-dichlorophenacyl bromide (I) with BH3/THF and a chiral oxazaborole catalyst gives 1(S)-(2,4-dichlorophenyl)-2-bromoethanol (II), which is treated with Ms-Cl and TEA in dichloromethane to yield the corresponding mesylate (III). Finally, this compound is cyclized with 2-(1-imidazolyl)-3,3-disulfanylacrylonitrile (VI) by means of KOH in DMSO. Alternatively, 1(S)-(2,4-dichlorophenyl)ethane-1,2-diol (VII) is treated with Ms-Cl and TEA in dichloromethane to give the corresponding dimesylate (VIII), which is condensed with the acrylonitrile (VI) with KOH as before. The intermediate acrylonitrile (VI) has been obtained by condensation of 2-(1-imidazolyl)acetonitrile (IV) with CS2 (V) by means of KOH in DMSO.

Drug Information Express,Drug R&D,Chemical Database,Patent Search.
Copyright © 2006-2026 Drug Future. All rights reserved.Contact Us