【药物名称】
化学结构式(Chemical Structure):
参考文献No.473733
标题:3-(5-Alkylamino-4-isoxazolyl)-1,2,5,6-tetrahydropyridines: A novel class of central nicotinic receptor ligands
作者:Olesen, P.H.; Swedberg, M.D.B.; Rimvall, K.
来源:Bioorg Med Chem 1998,6(9),1623
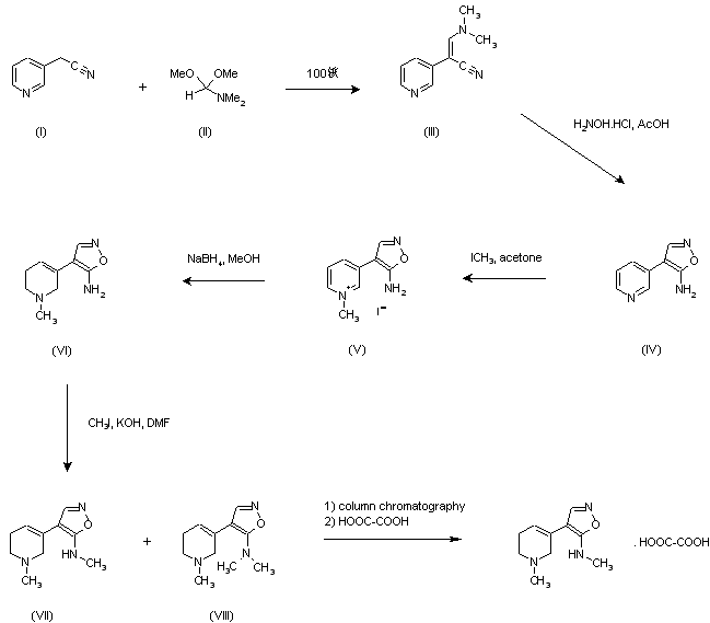
合成路线图解说明:

Condensation of 3-pyridylacetonitrile (I) with dimethyl-formamide dimethylacetal (II) afforded dimethylaminomethylene compound (III), which was cyclized to isoxazole (IV) by treatment with hydroxylamine.HCl in AcOH at 100 C. Quaternization with iodomethane provided pyridinium salt (V), and subsequent reduction with NaBH4 in MeOH produced tetrahydropyridine (VI). Then, methylation with iodomethane in the presence of KOH gave a mixture of monomethylated (VII) and dimethylated (VIII) compounds, which were separated by column chromatography. Finally, the major methylamino compound (VII) was converted to the oxalate salt.

Drug Information Express,Drug R&D,Chemical Database,Patent Search.
Copyright © 2006-2026 Drug Future. All rights reserved.Contact Us