【药物名称】
化学结构式(Chemical Structure):
参考文献No.472256
标题:Selective alpha-1a adrenergic receptor antagonists. Effects of pharmacophore regio- and stereochemistry on potency and selectivity
作者:Patane, M.A.; DiPardo, R.M.; Price, R.P.; Chang, R.S.; Ransom, R.W.; O'Malley, S.S.; Di Salvo, J.; Bock, M.G.
来源:Bioorg Med Chem Lett 1998,8(18),2495
合成路线图解说明:

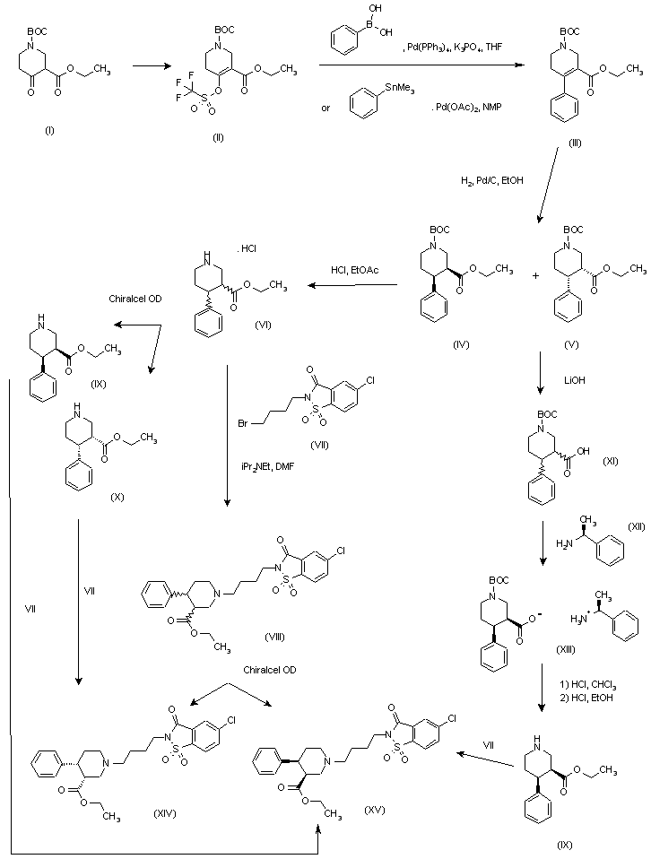
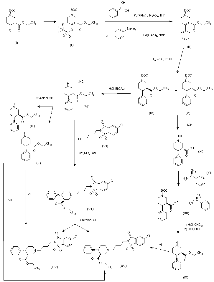
Ethoxycarbonylpiperidone (I) was converted into enol triflate (II), and this was coupled with either phenylboronic acid or phenyl trimethylstannane using Pd catalysts to give 4-phenyltetrahydro-pyridine (III). Subsequent double bond hydrogenation produced a racemic mixture of cis piperidines (IV) and (V), from which several routes were used to synthesize the chiral title compounds. Removal of BOC protecting groups with HCl in EtOAc gave racemic (VI), which was alkylated with bromide (VII) in the presence of diisopropylethylamine to afford racemic (VIII). The enantiomers of (VIII) were separated utilizing chiral HPLC on a Chiralcel OD column, yielding the (-)(S,S) compound (XV, 247751) and the (+)(R,R) compound (XIV, 247752). Alternatively, racemic piperidine (VI) could be separated using a Chiralcel OD column into enantiomers (-)(S,S) (IX) and (+)(R,R) (X), which were separately alkylated with bromide (VII) to furnish (XV) and (XIV), respectively. Resolution of the racemic mixture (IV) and (V) was also achieved by hydrolysis to the racemic acids (XI) with LiOH under controlled conditions, followed by treatment with (S)-a-methylbenzylamine (XII) and crystallization of the resulting salt (XIII), whose absolute configuration was determined by X-ray diffraction. Liberation of the (S,S) acid, followed by BOC removal and esterification with an ethanolic solution of HCl then provided ester (IX), which could be alkylated with bromide (VII) to afford (XV).

合成路线图解说明:

Ethoxycarbonylpiperidone (I) was converted into enol triflate (II), and this was coupled with either phenylboronic acid or phenyl trimethylstannane using Pd catalysts to give 4-phenyltetrahydro-pyridine (III). Subsequent double bond hydrogenation produced a racemic mixture of cis piperidines (IV) and (V), from which several routes were used to synthesize the chiral title compounds. Removal of BOC protecting groups with HCl in EtOAc gave racemic (VI), which was alkylated with bromide (VII) in the presence of diisopropylethylamine to afford racemic (VIII). The enantiomers of (VIII) were separated utilizing chiral HPLC on a Chiralcel OD column, yielding the (-)(S,S) compound (XV, 247751) and the (+)(R,R) compound (XIV, 247752). Alternatively, racemic piperidine (VI) could be separated using a Chiralcel OD column into enantiomers (-)(S,S) (IX) and (+)(R,R) (X), which were separately alkylated with bromide (VII) to furnish (XV) and (XIV), respectively. Resolution of the racemic mixture (IV) and (V) was also achieved by hydrolysis to the racemic acids (XI) with LiOH under controlled conditions, followed by treatment with (S)-a-methylbenzylamine (XII) and crystallization of the resulting salt (XIII), whose absolute configuration was determined by X-ray diffraction. Liberation of the (S,S) acid, followed by BOC removal and esterification with an ethanolic solution of HCl then provided ester (IX), which could be alkylated with bromide (VII) to afford (XV).

Drug Information Express,Drug R&D,Chemical Database,Patent Search.
Copyright © 2006-2026 Drug Future. All rights reserved.Contact Us