【药物名称】Bimosiamose, TBC-1269
化学结构式(Chemical Structure):
参考文献No.32287
标题:Di- and trivalent small molecule selectin inhibitors
作者:Kogan, T.P.; Dupre, B.; Scott, I.L.; Bui, H.; Wheeler, K.L.; Keller, K.M.; Kassir, J.M. (Texas Biotechnology Corp.)
来源:JP 1999508885; WO 9701335
合成路线图解说明:

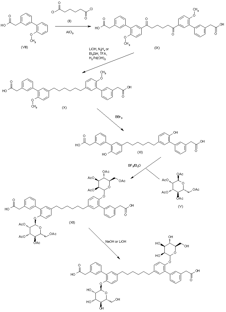
The Friedel-Crafts condensation of 2-(2'-methoxybiphenyl-3-yl)acetic acid (VIII) with adipoyl dichloride (II) by means of AlCl3 in dichloromethane gives the adduct (IX), which is submitted to reduction of both carbonyl groups by means of LiOH and N2H4, or with Et3SiH, TFA and BF3/Et2O, or with H2, Pd(OH)2 and BBr3, to yield the hexane-1,6-diyl derivative (X). The cleavage of the methoxy groups of (X) by means of BBr3 in dichloromethane affords the bis phenolic compound (XI), which is condensed with alpha-D-mannose pentaacetate (V) by means of BF3/Et2O in dichloroethane to provide the bis glycoside (XII). Finally, this compound is hydrolyzed with LiOH in water to furnish the target bis mannopyranoside.

参考文献No.458787
标题:Novel synthetic inhibitors of selectin-mediated cell adhesion: Synthesis of 1, 6-bis[3-(3-carboxymethylphenyl)-4-(2-alpha-D-mannopyranosyloxy)phenyl]hexane (TBC1269)
作者:Kogan, T.P.; Dupr? B.; Bui, H.; McAbee, K.L.; Kassir, J.M.; Scott, I.L.; Hu, X.; Vanderslice, P.; Beck, P.J.; Dixon, R.A.F.
来源:J Med Chem 1998,41(7),1099
合成路线图解说明:

The Friedel-Crafts condensation of 2-(2'-methoxybiphenyl-3-yl)acetic acid ethyl ester (I) with adipoyl dichloride (II) by means of AlCl3 gives the adduct (III), which is treated with BBr3 to cleave the methoxy groups and yield the diphenolic compound (IV). The condensation of (IV) with alpha-D-mannose pentaacetate (V) by means of BF3/Et2O affords the bis glycoside (VI), which is hydrolyzed with aq. LiOH aq. or NaOH to provide the dicarboxylic acid (VII). Finally, both ketonic groups of (VII) are reduced with LiOH and N2H4, or with Et3SiH, TFA and BF3/Et2O, or with H2, Pd(OH)2 and BBr3, to furnish the target bis mannopyranoside.

参考文献No.686837
标题:Novel synthetic inhibitors of selection-mediated cell adhesion: Synthesis of 1,6-bis [3-(3-carboxymethylphenyl)-4-(O-alpha-D-mannopyranosyl)phenyl]hexane (TBC 1269)
作者:Mukherjee, A.K.; Dasgupta, F.
来源:Chemtracts - Org Chem 2000,13(9),1431
合成路线图解说明:

The Friedel-Crafts condensation of 2-(2'-methoxybiphenyl-3-yl)acetic acid (VIII) with adipoyl dichloride (II) by means of AlCl3 in dichloromethane gives the adduct (IX), which is submitted to reduction of both carbonyl groups by means of LiOH and N2H4, or with Et3SiH, TFA and BF3/Et2O, or with H2, Pd(OH)2 and BBr3, to yield the hexane-1,6-diyl derivative (X). The cleavage of the methoxy groups of (X) by means of BBr3 in dichloromethane affords the bis phenolic compound (XI), which is condensed with alpha-D-mannose pentaacetate (V) by means of BF3/Et2O in dichloroethane to provide the bis glycoside (XII). Finally, this compound is hydrolyzed with LiOH in water to furnish the target bis mannopyranoside.

参考文献No.686838
标题:Stereospecific alpha-D-mannosylation
作者:Scott, I.L.; et al.
来源:Carbohydr Res 1999,317(1-4),210
合成路线图解说明:

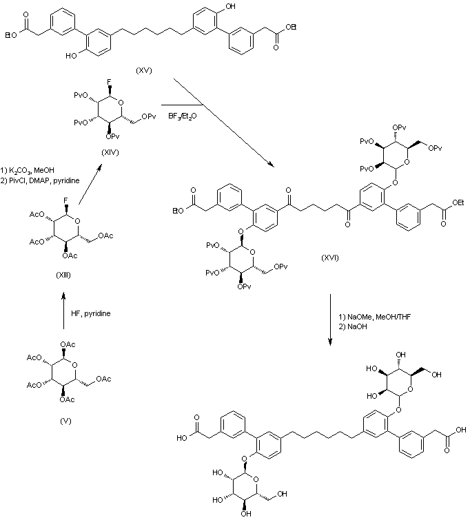
Treatment of alpha-D-mannose pentaacetate (V) with HF and pyridine in dichloromethane furnishes 2,3,4,6-tetra-O-acetyl-alpha-D-mannopyranosyl fluoride (XIII), which is saponified with K2CO3 in MeOH and then submited to reesterification with pivaloyl chloride and DMAP in pyridine to yield the tetra-O-pivaloyl derivative (XIV). Mannosylation of compound (XV) with the pivaloyl protected compound (XIV) affords the bis glycoside derivative (XVI), which is finally converted into the desired product by first removal of the pivaloyl groups with NaOMe in MeOH/THF, followed by saponification of the ethyl ester groups with aqueous NaOH.

Drug Information Express,Drug R&D,Chemical Database,Patent Search.
Copyright © 2006-2026 Drug Future. All rights reserved.Contact Us