【药物名称】CVS-1862
化学结构式(Chemical Structure):
参考文献No.472181
标题:HZ2, a selective kappa-opioid agonist
作者:K鰃el, B.; et al.
来源:CNS Drug Rev 1998,4(1),54
合成路线图解说明:

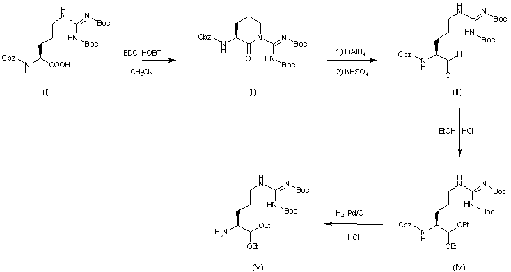
Intermediate V was prepared as follows: Cyclization of protected arginine (I) by treatment with EDC and HOBt in acetonitrile gave lactam (II). This was reduced with LiAlH4 at very low temperature, followed by careful acidic quenching with KHSO4, to afford the labile aldehyde (III), which was immediately treated with anhydrous ethanol and HCl to provide the diethyl acetal (IV). Hydrogenolysis of the protecting N-benzyloxycarbonyl group of (IV) in the presence of one equivalent of HCl afforded the aminoacetal hydrochloride (V).

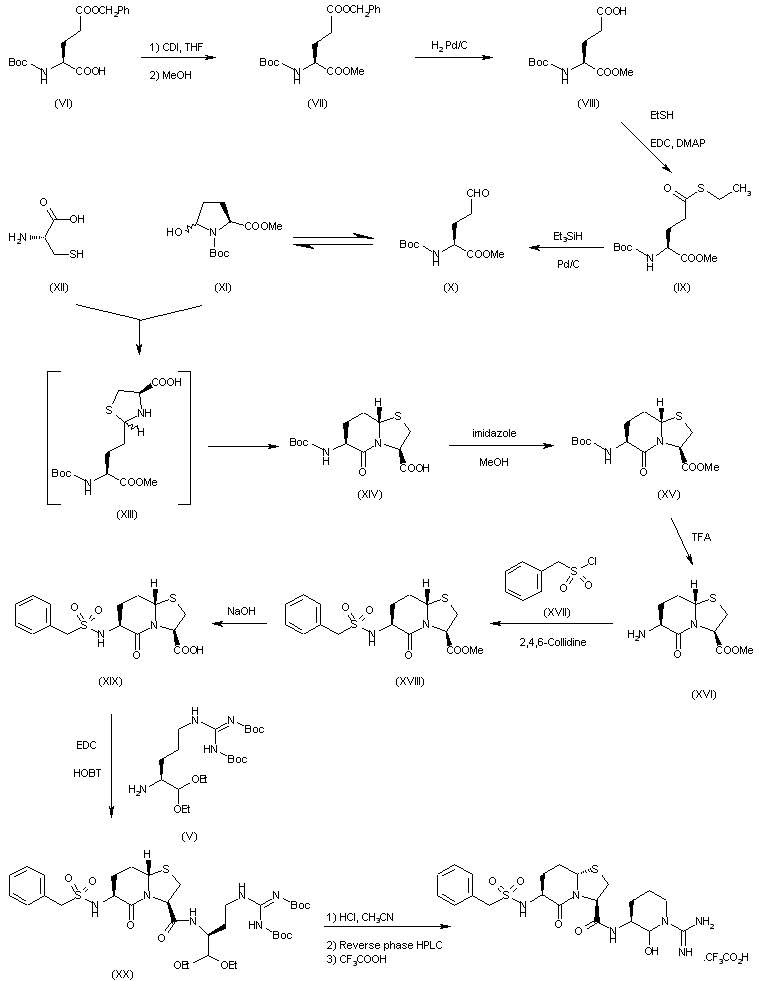
合成路线图解说明:

N-Boc glutamic acid delta-benzyl ester (VI) was treated with carbonyldiimidazole (CDI) in THF, and to the resulting acyl imidazole was added MeOH to provide alpha-methyl ester (VII). Further hydrogenolysis of (VII) in the presence of palladium on carbon cleaved the benzyl ester to give acid (VIII). Treatment of (VIII) with ethanethiol in the presence of EDC and DMAP yielded thioester (IX) and this was then reduced with triethylsilane in the presence of Pd-C to glutamic semialdehyde (X), which was shown to exist predominately in the hemiaminal form (XI). Condensation of this aldehyde (XI) with cysteine (XII) led, via the intermediate thiazolidine (XIII), to the bicyclic lactam (XIV) after equilibration to the more stable isomer. Formation of methyl ester (XV) via the acyl imidazole intermediate, followed by trifluoroacetic acid-catalyzed deprotection of the Boc group of (XV) afforded the amine salt (XVI). This was treated with benzylsulfonyl chloride (XVII) in the presence of collidine to give sulfonamide (XVIII), and subsequent ester hydrolysis provided acid (XIX). Coupling of this acid with amino acetal (V) by treatment with EDC and HOBt yielded amide (XX). Finally, hydrolysis of the acetal of (XX) with dilute HCl in acetonitrile, with simultaneous deblocking of both guanidino-Boc groups and cyclization afforded the title compound, which was purified by reverse phase HPLC, and converted to the trifluoroacetate salt.

合成路线图解说明:

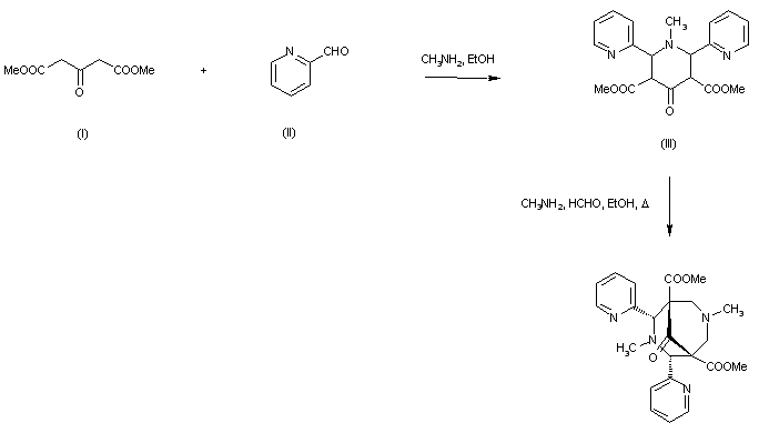
Mannich reaction of dimethyl 3-oxoglutarate (I) with methylamine and two equivalents of 2-pyridinecarboxaldehyde (II) gave piperidinone (III). Then, a further Mannich reaction with formaldehyde and methylamine furnished the bicyclic compound.

Drug Information Express,Drug R&D,Chemical Database,Patent Search.
Copyright © 2006-2026 Drug Future. All rights reserved.Contact Us