【药物名称】
化学结构式(Chemical Structure):
参考文献No.400662
标题:Nonpeptidic inhibitors of recombinant human calpain; I
作者:Chatterjee, S.; et al.
来源:Bioorg Med Chem Lett 1997,7(3),287-290
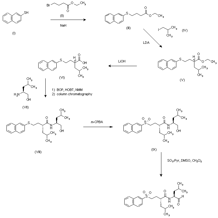
合成路线图解说明:

2-Naphtalenethiol (I) was treated with ethyl 4-bromobutyrate (II) and NaH to give thioether (III). Alkylation of (III) with isobutyl iodide (IV) in the presence of LDA afforded racemic (V), which was then hydrolyzed to the acid (VI) on treatment with litium hydroxide. Coupling of racemic acid (VI) with (S)-leucinol (VII) yielded a mixture of diastereomeric amides, which were separated by column chromatography. Diastereoisomer (VIII) was oxidized with m-chloroperbenzoic acid to give sulfone (IX), and was further oxidized with DMSO and sulfur trioxide-pyridine complex to produce the target aldehyde.

Drug Information Express,Drug R&D,Chemical Database,Patent Search.
Copyright © 2006-2026 Drug Future. All rights reserved.Contact Us