【药物名称】VUF-5000
化学结构式(Chemical Structure):
参考文献No.538548
标题:Synthesis, in vitro pharmacology and radiosynthesis of N-(cis-4-fluoromethylcyclohexyl)-4-(1(H)-imidazol-4-yl)piperidine-1-thiocarbonamide (VUF 5000), a potential PET ligand for the histamine H-3 receptor
作者:Windhorst, A.D.; et al.
来源:J Label Compd Radiopharm 1999,42(3),293
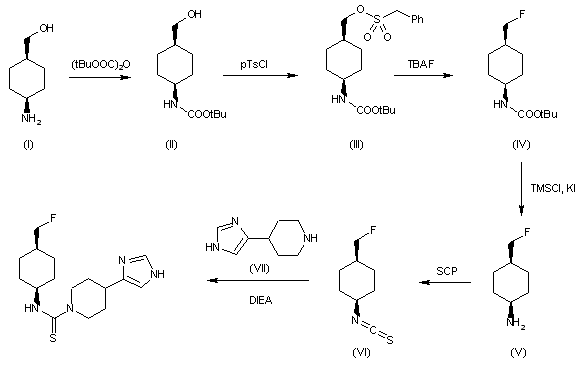
合成路线图解说明:

The reaction of cis-4-aminocyclohexylmethanol (I) with di-tert-butyl dicarbonate and triethylamine in methanol gives the corresponding carbamate (II), which is treated with tosyl chloride in pyridine yielding the tosylate (III). The reaction of (III) with tetrabutylammonium fluoride (TBAF) in acetonitrile affords the fluoromethyl derivative (IV), which is deprotected with chlorotrimethylsilane and KI to give 4-(fluoromethyl)cyclohexylamine (V). The reaction of (V) with 1,1'-thiocarbonyl-bis(pyridin-2(1H)-one (SCP) yields the isothiocyanate (VI), which is finally condensed with 4-(1H-imidazol-4-yl)piperidine (VII) by means of diisopropylethylamine (DIEA) in acetonitrile.

Drug Information Express,Drug R&D,Chemical Database,Patent Search.
Copyright © 2006-2026 Drug Future. All rights reserved.Contact Us