【药物名称】
化学结构式(Chemical Structure):
参考文献No.425236
标题:Butitaxel analogues: Synthesis and structure-activity relationships
作者:Ali, S.M.; Hoemann, M.Z..; Aube, J.; Georg, G.I.; Mitscher, L.A.; Jayasinghe, L.R.
来源:J Med Chem 1997,40(2),236-241
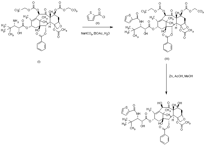
合成路线图解说明:

Amine (I) was acylated with 2-thiophenecarbonyl chloride (II) in a mixture of ethyl acetate and a saturated solution of NaHCO3 to give amide (III). Then, removal of both trichloroethoxycarbonyl protecting groups was effected by treatment with zinc dust in methanol and acetic acid to provide the title compound.

Drug Information Express,Drug R&D,Chemical Database,Patent Search.
Copyright © 2006-2026 Drug Future. All rights reserved.Contact Us