【药物名称】BMS-193885
化学结构式(Chemical Structure):
参考文献No.32160
标题:Dihydropyridine NPY antagonists: Piperidine derivs.
作者:Poindexter, G.S.; Bruce, M.; Johnson, G.; leBoulluec, K.; Sloan, C.P. (Bristol-Myers Squibb Co.)
来源:CA 2177110; EP 0747357; JP 1997003045; US 5668151
合成路线图解说明:

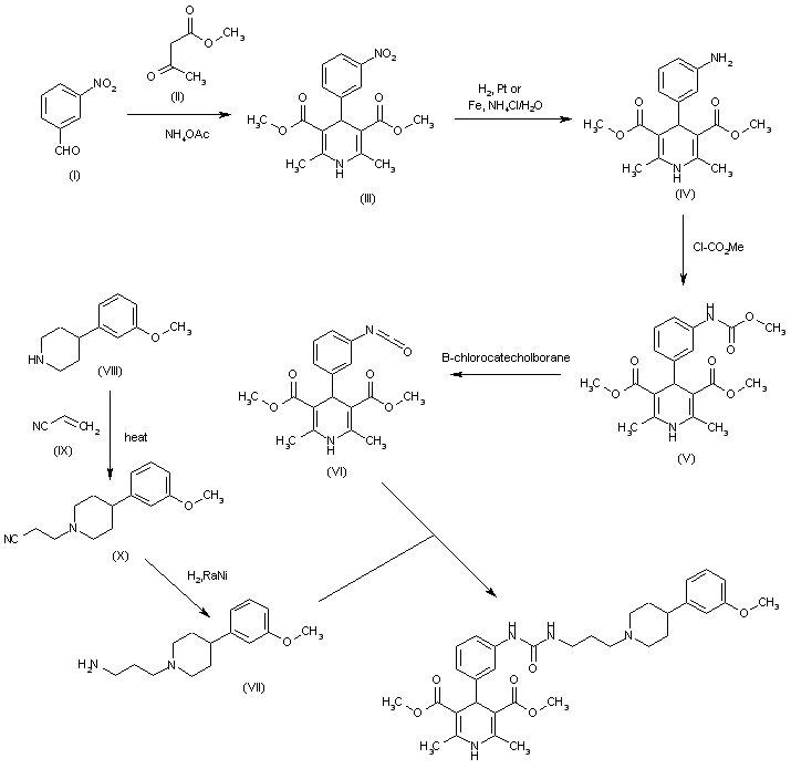
The Hantzsch cyclization of 3-nitrobenzaldehyde (I), methyl acetoacetate (II) and NH4OAc in refluxing ethanol or isopropanol gives 2,6-dimethyl-4-(3-nitrophenyl)-1,4-dihydropyridine-3,5-dicarboxylic acid dimethyl ester (III), which is reduced with H2 over sulfided carbon in ethanol or with Fe/NH4Cl in methanol/water to yield the corresponding amino derivative (IV). The reaction of (IV) with methyl chloroformate and pyridine in acetonitrile/dichloromethane affords the carbamate (V), which is treated with B-chlorocatecholborane in refluxing THF to provide the corresponding isocyanate (VI). Finally, this compound is condensed with 3-[4-(3-methoxyphenyl)piperidin-1-yl]propylamine (VII) in dichloromethane to furnish the target urea. The intermediate 3-[4-(3-methoxyphenyl)piperidin-1-yl]propylamine (VII) is obtained by condensation of 4-(3-methoxyphenyl)piperidine (VIII) with acrylonitrile (IX) in refluxing acetonitrile to give 3-[4-(3-methoxyphenyl)piperidin-1-yl]propionitrile (X), which is reduced with H2 over Raney-Ni in methanol/aq. NH3.

参考文献No.660568
标题:Dihydropyridine neuropeptide Y Y1 receptor antagonists
作者:Poindexter, G.S.; Bruce, M.A..; LeBoulluec, K.L.; Monkovic, I.; Martin, S.W.; Parker, E.M.; Iben, L.G.; McGovern, R.T.; Ortiz, A.A.; Stanley, J.A.; Mattson, G.K.; Kozlowski, M.; Arcuri, M.; Antal-Zimanyi, I.
来源:Bioorg Med Chem Lett 2002,12(3),379
合成路线图解说明:

The Hantzsch cyclization of 3-nitrobenzaldehyde (I), methyl acetoacetate (II) and NH4OAc in refluxing ethanol or isopropanol gives 2,6-dimethyl-4-(3-nitrophenyl)-1,4-dihydropyridine-3,5-dicarboxylic acid dimethyl ester (III), which is reduced with H2 over sulfided carbon in ethanol or with Fe/NH4Cl in methanol/water to yield the corresponding amino derivative (IV). The reaction of (IV) with methyl chloroformate and pyridine in acetonitrile/dichloromethane affords the carbamate (V), which is treated with B-chlorocatecholborane in refluxing THF to provide the corresponding isocyanate (VI). Finally, this compound is condensed with 3-[4-(3-methoxyphenyl)piperidin-1-yl]propylamine (VII) in dichloromethane to furnish the target urea. The intermediate 3-[4-(3-methoxyphenyl)piperidin-1-yl]propylamine (VII) is obtained by condensation of 4-(3-methoxyphenyl)piperidine (VIII) with acrylonitrile (IX) in refluxing acetonitrile to give 3-[4-(3-methoxyphenyl)piperidin-1-yl]propionitrile (X), which is reduced with H2 over Raney-Ni in methanol/aq. NH3.

Drug Information Express,Drug R&D,Chemical Database,Patent Search.
Copyright © 2006-2026 Drug Future. All rights reserved.Contact Us