【药物名称】FR-193108
化学结构式(Chemical Structure):
参考文献No.449200
标题:Design of dual CCK-A and CCK-B receptor antagonists
作者:Satoh, Y.; Tabuchi, S.; Mitsui, H.
来源:Drugs Fut 1997,22(10),1117
合成路线图解说明:

The condensation of 2-methylaniline (I) with 2-fluorobenzonitrile (II) by means of BCl3 and AlCl3 gives 2-amino-2'-fluoro-3-methylbenzophenone (III), which is acylated at the amino group with bromoacetyl bromide (IV) in pyridine yielding the bromoacetamide (V). The cyclization of (V) with hydroxylamine and NaOH affords the benzodiazepinone-N-oxide (VI), which is treated with acetic anhydride to provide 3-acetoxy-5-(2-fluorophenyl)-9-methyl-2,3-dihydro-1H-1,4-benzodiazepin-2-one (VII). The reaction of (VII) with potassium phthalimide (VIII) and NaI gives the phthalimido derivative (IX), which by cleavage with hydrazine yields 3-amino-5-(2-fluorophenyl)-9-methyl-2,3-dihydro-1H-1,4-benzodiazepin-2-one (X). The protection of the amino group of (X) with Boc2O and TEA affords the carbamate (XI), which is alkylated with ethyl bromoacetate (XII) by means of NaH giving the ethoxycarbonylmethyl derivative (XIII). The hydrolysis of (XIII) with NaOH affords the corresponding carboxymethyl derivative (XIV), which is condensed with 3-azabicyclo[3,2,2]nonane (XV) by means of HOBT, WSCD and TEA to give the expected amide (XVI). The cleavage of the tert-butoxycarbonyl group of (XVI) with HCl yields the amine (XVII), which is finally condensed with the activated carbamate (XVIII) to furnish the title compound.

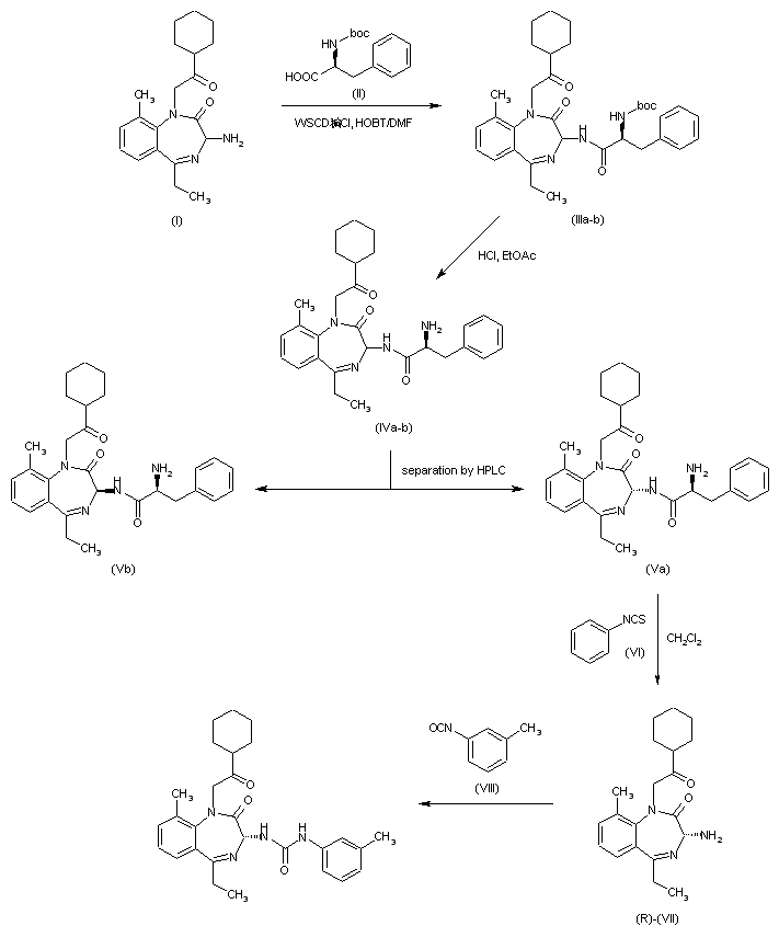
合成路线图解说明:

The condensation of 3-amino-1-(2-cyclohexyl-2-oxoethyl)-5-ethyl-9-methyl-2,3-dihydro-1H-1,4-benzodiazepin-2-one (I) with N-(tert-butoxycarbonyl)-L-phenylalanine (II) by means of HOBT and WSCD in DMF gives the corresponding amide as a diastereomeric mixture (IIIa-b), which is deprotected at the Boc group by treatment with HCl in ethyl acetate yielding the diastereomeric mixture of L-phenylalanine amides (IVa-b). The HPLC chromatographic separation of both diastereomers affords pure (Va) and (Vb). The desired diastereomer (Va) is treated with phenyl isothiocyanate (VI) to provide the chiral amine (R)-(VII), which is finally condensed with 3-methylphenyl isocyanate (VIII) to furnish the target urea.

参考文献No.803814
标题:Aminohaloborane in organic synthesis. I. Specific ortho substitution reaction of anilines
作者:Toyoda, T.; Adachi, M.; Sugasawa, T.; et al.
来源:J Am Chem Soc 1978,1004842
合成路线图解说明:

The condensation of 2-methylaniline (I) with 2-fluorobenzonitrile (II) by means of BCl3 and AlCl3 gives 2-amino-2'-fluoro-3-methylbenzophenone (III), which is acylated at the amino group with bromoacetyl bromide (IV) in pyridine yielding the bromoacetamide (V). The cyclization of (V) with hydroxylamine and NaOH affords the benzodiazepinone-N-oxide (VI), which is treated with acetic anhydride to provide 3-acetoxy-5-(2-fluorophenyl)-9-methyl-2,3-dihydro-1H-1,4-benzodiazepin-2-one (VII). The reaction of (VII) with potassium phthalimide (VIII) and NaI gives the phthalimido derivative (IX), which by cleavage with hydrazine yields 3-amino-5-(2-fluorophenyl)-9-methyl-2,3-dihydro-1H-1,4-benzodiazepin-2-one (X). The protection of the amino group of (X) with Boc2O and TEA affords the carbamate (XI), which is alkylated with ethyl bromoacetate (XII) by means of NaH giving the ethoxycarbonylmethyl derivative (XIII). The hydrolysis of (XIII) with NaOH affords the corresponding carboxymethyl derivative (XIV), which is condensed with 3-azabicyclo[3,2,2]nonane (XV) by means of HOBT, WSCD and TEA to give the expected amide (XVI). The cleavage of the tert-butoxycarbonyl group of (XVI) with HCl yields the amine (XVII), which is finally condensed with the activated carbamate (XVIII) to furnish the title compound.

合成路线图解说明:

The condensation of 3-amino-1-(2-cyclohexyl-2-oxoethyl)-5-ethyl-9-methyl-2,3-dihydro-1H-1,4-benzodiazepin-2-one (I) with N-(tert-butoxycarbonyl)-L-phenylalanine (II) by means of HOBT and WSCD in DMF gives the corresponding amide as a diastereomeric mixture (IIIa-b), which is deprotected at the Boc group by treatment with HCl in ethyl acetate yielding the diastereomeric mixture of L-phenylalanine amides (IVa-b). The HPLC chromatographic separation of both diastereomers affords pure (Va) and (Vb). The desired diastereomer (Va) is treated with phenyl isothiocyanate (VI) to provide the chiral amine (R)-(VII), which is finally condensed with 3-methylphenyl isocyanate (VIII) to furnish the target urea.

Drug Information Express,Drug R&D,Chemical Database,Patent Search.
Copyright © 2006-2026 Drug Future. All rights reserved.Contact Us