【药物名称】
化学结构式(Chemical Structure):
参考文献No.485792
标题:4-Oxospiro[benzopyran-2,4'-piperidines] as selective alpha1a-adrenergic receptor antagonists
作者:Nerenberg, J.B.; Erb, J.M.; Bergman, J.M.; O'Malley, S.; Chang, R.S.; Scott, A.L.; Broten, T.P.; Bock, M,G.
来源:Bioorg Med Chem Lett 1999,9(2),291
合成路线图解说明:

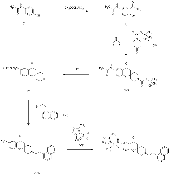
Friedel-Crafts acetylation of acetaminophen (I) using acetyl chloride and AlCl3 gave acetophenone (II). Subsequent condensation of (II) with N-(tert-butoxycarbonyl)-4-piperidone (III) in the presence of pyrrolidine provided the spirochroman-2,4'-piperidine (IV), from which the diamine (V) was obtained by acid hydrolysis. The piperidine amino group of (VI) was then alkylated with 1-(2-bromoethyl)naphthalene (VI) to afford (VII). Finally, condensation of the remaining amino group of (VII) with the sulfonyl chloride (VIII) furnished the title sulfonamide.

Drug Information Express,Drug R&D,Chemical Database,Patent Search.
Copyright © 2006-2026 Drug Future. All rights reserved.Contact Us