【药物名称】
化学结构式(Chemical Structure):
参考文献No.403319
标题:Synthesis and antitumor activity of quaternary salts of 2-(2'-oxoalkoxy)-9-hydroxyellipticines
作者:Harada, N.; Kawaguchi, T.; Inoue, I.; Ohashi, M.; Oda, K.; Hashiyama, T.; Tsujihara, K.
来源:Chem Pharm Bull 1997,45(1),134
合成路线图解说明:

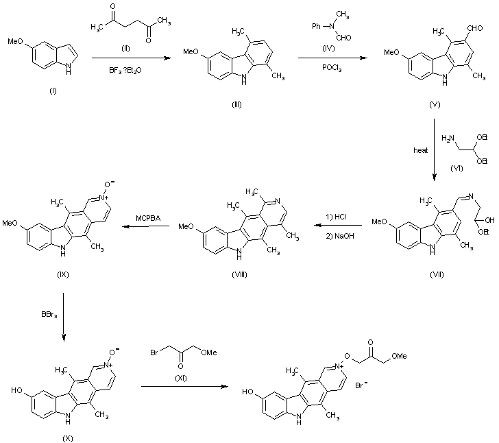
The cyclization of 5-methoxy-1H-indole (I) with hexane-2,6-dione (II) by means of BF3 ethearate in refluxing dioxane gives 6-methoxy-1,4-dimethylcarbazole (III), which is formylated with N-methylformanilide (IV) and POCl3 in hot o-dichlorobenzene yielding the 3-formyl derivative (V). The condensation of (V) with 2-aminoacetaldehyde diethylacetal (VI) by heating at 100 C affords the expected imino derivative (VII), which is cyclized by acid (HCl) hydrolysis of the acetal group and cyclization of the resulting aldehyde by means of NaOH in water to the 9-methoxy-5,11-dimethyl-6H-pyrido[4,3-b]carbazole (VIII). The oxidation of (VIII) with m-chloroperbenzoic acid (MCPBA) in acetone gives the correponding N-oxide (IX), which is treated with BBr3 in dichloromethane yielding 9-hydroxy-5,11-dimethyl-6H-pyrido[4,3-b]carbazole (X). Finally, this compound is treated with 1-bromo-3-methoxy-2-propanone in DMF to afford the desired quaternary salt.

参考文献No.555580
标题:Ellipticine derivatives
作者:Guthrie, R.W.; Brossi, A.; Mennona, F.A.; Mullin, J.G.; Kierstead, R.W.; Grunberg, E.
来源:J Med Chem 1975,18(7),755
合成路线图解说明:

The cyclization of 5-methoxy-1H-indole (I) with hexane-2,6-dione (II) by means of BF3 ethearate in refluxing dioxane gives 6-methoxy-1,4-dimethylcarbazole (III), which is formylated with N-methylformanilide (IV) and POCl3 in hot o-dichlorobenzene yielding the 3-formyl derivative (V). The condensation of (V) with 2-aminoacetaldehyde diethylacetal (VI) by heating at 100 C affords the expected imino derivative (VII), which is cyclized by acid (HCl) hydrolysis of the acetal group and cyclization of the resulting aldehyde by means of NaOH in water to the 9-methoxy-5,11-dimethyl-6H-pyrido[4,3-b]carbazole (VIII). The oxidation of (VIII) with m-chloroperbenzoic acid (MCPBA) in acetone gives the correponding N-oxide (IX), which is treated with BBr3 in dichloromethane yielding 9-hydroxy-5,11-dimethyl-6H-pyrido[4,3-b]carbazole (X). Finally, this compound is treated with 1-bromo-3-methoxy-2-propanone in DMF to afford the desired quaternary salt.

参考文献No.700082
标题:
作者:Liu, Q.-R.; et al.
来源:Aust J Chem 1967,202715
合成路线图解说明:

The cyclization of 5-methoxy-1H-indole (I) with hexane-2,6-dione (II) by means of BF3 ethearate in refluxing dioxane gives 6-methoxy-1,4-dimethylcarbazole (III), which is formylated with N-methylformanilide (IV) and POCl3 in hot o-dichlorobenzene yielding the 3-formyl derivative (V). The condensation of (V) with 2-aminoacetaldehyde diethylacetal (VI) by heating at 100 C affords the expected imino derivative (VII), which is cyclized by acid (HCl) hydrolysis of the acetal group and cyclization of the resulting aldehyde by means of NaOH in water to the 9-methoxy-5,11-dimethyl-6H-pyrido[4,3-b]carbazole (VIII). The oxidation of (VIII) with m-chloroperbenzoic acid (MCPBA) in acetone gives the correponding N-oxide (IX), which is treated with BBr3 in dichloromethane yielding 9-hydroxy-5,11-dimethyl-6H-pyrido[4,3-b]carbazole (X). Finally, this compound is treated with 1-bromo-3-methoxy-2-propanone in DMF to afford the desired quaternary salt.

Drug Information Express,Drug R&D,Chemical Database,Patent Search.
Copyright © 2006-2026 Drug Future. All rights reserved.Contact Us