【药物名称】CP-320626
化学结构式(Chemical Structure):
参考文献No.31964
标题:Substd. N-(indole-2-carbonyl)-glycinamides and derivs. as glycogen phosphorylase inhibitors
作者:Hulin, B.; Hoover, D.J.; Treadway, J.L.; Martin, W.H.; Phillips, D. (Pfizer Inc.)
来源:EP 0832065; WO 9639384
合成路线图解说明:

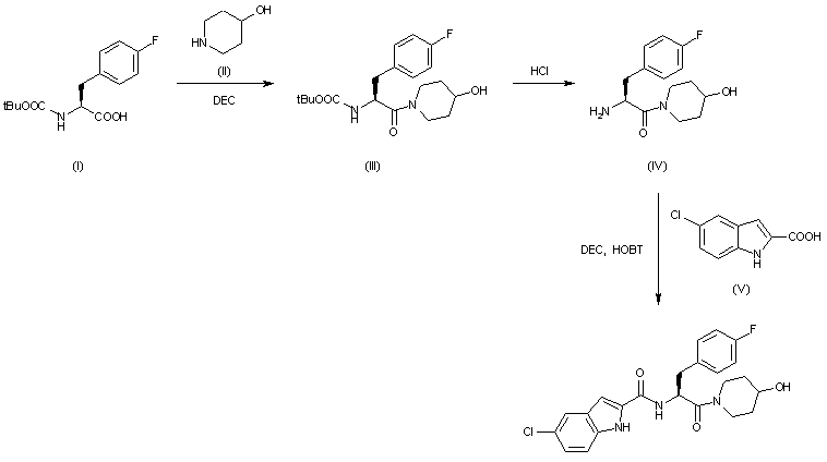
The reaction of N-(tert-butoxycarbonyl)-L-4-fluorophenylalanine (I) with 4-hydroxypiperidine (II) by means of triethylamine, EDC and HOBT in dichloromethane gives the expected piperidide (III), which is deprotected with with HCl in dioxane to afford (IV) with a free amino group that is condensed with 5-chloro-1H-indole-2-carboxylic acid (V) by means of triethylamine, EDC and HOBT as before.

参考文献No.479520
标题:Indole-2-carboxamide inhibitors of human liver glycogen phosphorylase
作者:Hoover, D.J.; Lefkowitz-Snow, S.; Burgess-Henry, J.L.; Martin, W.H.; Armento, S.J.; Stock, I.A.; McPherson, R.K.; Genereux, P.E.; Gibbs, E.M.; Treadway, J.L.
来源:J Med Chem 1998,41(16),2934
合成路线图解说明:

The reaction of N-(tert-butoxycarbonyl)-L-4-fluorophenylalanine (I) with 4-hydroxypiperidine (II) by means of triethylamine, EDC and HOBT in dichloromethane gives the expected piperidide (III), which is deprotected with with HCl in dioxane to afford (IV) with a free amino group that is condensed with 5-chloro-1H-indole-2-carboxylic acid (V) by means of triethylamine, EDC and HOBT as before.

Drug Information Express,Drug R&D,Chemical Database,Patent Search.
Copyright © 2006-2026 Drug Future. All rights reserved.Contact Us