【药物名称】PA-457, YK-FH312
化学结构式(Chemical Structure):
参考文献No.31921
标题:Betulinic acid derivs. and uses thereof
作者:Lee, K.-H.; Kashiwada, Y.; Hashimoto, F.; Cosentino, L.M.; Manak, M. (Biotech Research Laboratories; University of North Carolina)
来源:US 5679828; WO 9639033
合成路线图解说明:

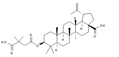
Betulinic acid (I) was extracted from the dried leaves of Syzygium claviforum. Acylation of (I) with 2,2-dimethylsuccinic anhydride (II) in the presence of DMAP in refluxing pyridine furnished the target 3?3?dimethylsuccinyl betulinic acid along with minor amounts of the undesired 2?2?dimethyl regioisomer (III), which were separated by means of preparative HPLC.

参考文献No.354567
标题:Betulinic acid and dihydrobetulinic acid derivatives as potent anti-HIV agents
作者:Kashiwada, Y.; Hashimoto, F.; Cosentino, L.M.; Chen, C.H.; Garrett, P.E.; Lee, K.H.
来源:J Med Chem 1996,39(5),1016
合成路线图解说明:

Betulinic acid (I) was extracted from the dried leaves of Syzygium claviforum. Acylation of (I) with 2,2-dimethylsuccinic anhydride (II) in the presence of DMAP in refluxing pyridine furnished the target 3?3?dimethylsuccinyl betulinic acid along with minor amounts of the undesired 2?2?dimethyl regioisomer (III), which were separated by means of preparative HPLC.

参考文献No.567165
标题:Anti-AIDS agents.30. Anti-HIV activity of oleanolic acid, pomolic acid, and structurally related triterpenoids
作者:Kashiwada, Y.; Wang, H.K.; Nagao, T.; Kitanaka, S.; Yasuda, I.; Fujioka, T.; Yamagishi, T.; Cosentino, L.M.; Kozuka, M.; Okabe, H.; Ikeshiro, Y.; Hu, C.Q.; Yeh, E.; Lee, K.H.
来源:J Nat Prod 1998,61(9),1090
合成路线图解说明:

Betulinic acid (I) was extracted from the dried leaves of Syzygium claviforum. Acylation of (I) with 2,2-dimethylsuccinic anhydride (II) in the presence of DMAP in refluxing pyridine furnished the target 3?3?dimethylsuccinyl betulinic acid along with minor amounts of the undesired 2?2?dimethyl regioisomer (III), which were separated by means of preparative HPLC.

参考文献No.567166
标题:Anti-AIDS agents - XXVII. Synthesis and anti-HIV activity of betulinic acid and dihydrobetulinic acid derivatives
作者:Hashimoto, F.; Kashiwada, Y.; Cosentino, L.M.; Chen, C.H.; Garrett, P.E.; Lee, K.H.
来源:Bioorg Med Chem 1997,5(12),2133
合成路线图解说明:

Betulinic acid (I) was extracted from the dried leaves of Syzygium claviforum. Acylation of (I) with 2,2-dimethylsuccinic anhydride (II) in the presence of DMAP in refluxing pyridine furnished the target 3?3?dimethylsuccinyl betulinic acid along with minor amounts of the undesired 2?2?dimethyl regioisomer (III), which were separated by means of preparative HPLC.

Drug Information Express,Drug R&D,Chemical Database,Patent Search.
Copyright © 2006-2026 Drug Future. All rights reserved.Contact Us