【药物名称】NBI-27155
化学结构式(Chemical Structure):
参考文献No.31971
标题:Amino-substd. thiadiazoles, pyrimidines, triazines or triazoles useful as CTF receptor antagonists
作者:McCarthy, J.R.; Xie, Y.F.; Whitten, J.P.; Webb, T.R.; Chen, C.; Ramphal, J.Y.; Grigoriadis, D.E.; Dagnino, R. Jr.; Huang, C.Q.; Liu, Z. (Neurocrine Biosciences Inc.)
来源:EP 0846108; JP 1999507358; US 5795905; WO 9639400
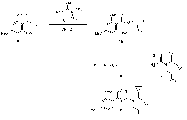
合成路线图解说明:

2',4',6'-Trimethoxyacetophenone (I) was condensed with dimethylformamide dimethylacetal (II) in refluxing DMF to afford the enamino ketone (III). Subsequent cyclization of (III) with N1-dicyclopropylmethyl-N1-propyl-guanidine hydrochloride (IV) in the presence of t-BuOK produced the target pyrimidine.

Drug Information Express,Drug R&D,Chemical Database,Patent Search.
Copyright © 2006-2026 Drug Future. All rights reserved.Contact Us