【药物名称】CGP-64222
化学结构式(Chemical Structure):
参考文献No.32115
标题:Antiviral peptoid cpds.
作者:Felder, E.; Hamy, F.; Heizmann, G.; Klimkait, T.; Lazdins, J.K. (Novartis AG)
来源:EP 0832110; WO 9640759
合成路线图解说明:

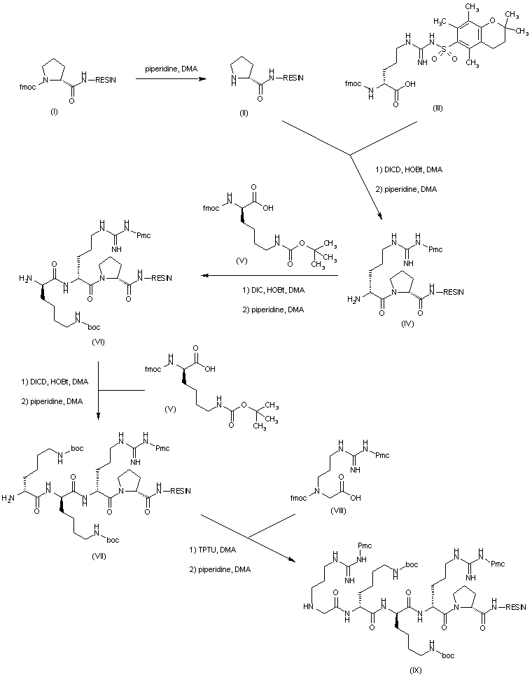
The title compound was prepared by solid-phase peptide synthesis starting from N-Fmoc-D-proline linked to Rink resin (I). Deprotection of the Fmoc group by means of piperidine in DMA afforded proline-resin (II). Coupling of N-alpha-Fmoc-NG-Pmc-D-arginine (III) to proline-resin (II) using diisopropyl carbodiimide (DIC) and HOBt, followed by Fmoc deprotection with piperidine in DMA, furnished dipeptide-resin (IV). Further coupling and deprotection cycles incorporating the amino acid N2-Fmoc-N6-Boc-D-lysine (V) (twice) and the peptoid residue N-Fmoc-N-[3-(3-Pmc-guanidino)propyl]glycine (VIII) yielded the peptide resins (VI), (VII) and (IX), respectively.

合成路线图解说明:

Further coupling and deprotection cycles incorporating peptoid N-Fmoc-N-benzylglycine (X), and twice peptoid (VIII), yielded the peptoid-resins (XI) and (XII), respectively. Bromoacetic acid (XIII) was subsequently coupled to resin (XII) to afford the bromoacetamido peptoid-resin (XIV).

合成路线图解说明:

Displacement of the bromine of (XIV) with N-Boc-1,6-diaminohexane (XV) produced resin (XVI). Finally, the side-chain protecting groups of (XVI) were cleaved and the desired peptoid was liberated from the resin by treatment with trifluoroacetic acid.

参考文献No.585833
标题:An inhibitor of the Tat/TAR RNA interaction that effectively suppresses HIV-1 replication
作者:Hamy, F.; Felder, E.R.; Heizmann, G.; Lazdins, J.; Aboul-ela, F.; Varani, G.; Karn, J.; Klimkait, T.
来源:Proceedings of the National Academy of Sciences of the United States of America 1997,94(8),3548
合成路线图解说明:

The title compound was prepared by solid-phase peptide synthesis starting from N-Fmoc-D-proline linked to Rink resin (I). Deprotection of the Fmoc group by means of piperidine in DMA afforded proline-resin (II). Coupling of N-alpha-Fmoc-NG-Pmc-D-arginine (III) to proline-resin (II) using diisopropyl carbodiimide (DIC) and HOBt, followed by Fmoc deprotection with piperidine in DMA, furnished dipeptide-resin (IV). Further coupling and deprotection cycles incorporating the amino acid N2-Fmoc-N6-Boc-D-lysine (V) (twice) and the peptoid residue N-Fmoc-N-[3-(3-Pmc-guanidino)propyl]glycine (VIII) yielded the peptide resins (VI), (VII) and (IX), respectively.

合成路线图解说明:

Further coupling and deprotection cycles incorporating peptoid N-Fmoc-N-benzylglycine (X), and twice peptoid (VIII), yielded the peptoid-resins (XI) and (XII), respectively. Bromoacetic acid (XIII) was subsequently coupled to resin (XII) to afford the bromoacetamido peptoid-resin (XIV).

合成路线图解说明:

Displacement of the bromine of (XIV) with N-Boc-1,6-diaminohexane (XV) produced resin (XVI). Finally, the side-chain protecting groups of (XVI) were cleaved and the desired peptoid was liberated from the resin by treatment with trifluoroacetic acid.

Drug Information Express,Drug R&D,Chemical Database,Patent Search.
Copyright © 2006-2026 Drug Future. All rights reserved.Contact Us