【药物名称】NS-8
化学结构式(Chemical Structure):
参考文献No.32071
标题:Pyrrole derivs. and medicinal compsn.
作者:Tsuda, M.; Tanaka, M.; Nakamura, A. (Nippon Shinyaku Co., Ltd.)
来源:US 5998459; WO 9640634
合成路线图解说明:

Treatment of 2-fluorophenylglycine (I) with Ac2O and pyridine at 150 C produced 1-(2-fluorophenyl)-1-acetamido-2-propanone (II). This was subsequently condensed with malononitrile yielding the title pyrrole derivative.

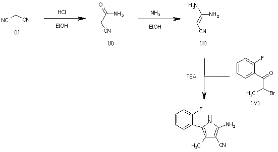
参考文献No.601216
标题:Studies on potassium channel openers: Synthesis and pharmacological properties of novel pyrrole derivatives
作者:Tsuda, M.; et al.
来源:20th Symp Med Chem (Dec 6 2000, Tokyo) 2000,Abst 2P-24
合成路线图解说明:

The partial hydrolysis of malonodinitrile (I) with HCl in ethanol gives 2-cyanoacetamide (II), which is treated with ammonia in ethanol to yield 3,3-diaminopropenenitrile (III). Finally, this compound is cyclized with 2-bromo-1-(2-fluorophenyl)-1-propanone (IV) by means of TEA in ethanol.

Drug Information Express,Drug R&D,Chemical Database,Patent Search.
Copyright © 2006-2026 Drug Future. All rights reserved.Contact Us