【药物名称】V-102862, CO-102862
化学结构式(Chemical Structure):
参考文献No.32067
标题:Semicarbazones having CNS activity and pharmaceutical preparations containing same
作者:Dimmock, J.R.; Puthucode, R.N. (University of Saskatchewan)
来源:EP 0836591; JP 1999506109; US 5741818; WO 9640628
合成路线图解说明:

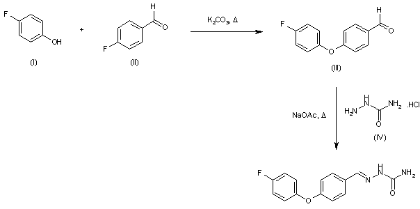
Condensation of 4-fluorophenol (I) with 4-fluorobenzaldehyde (II) by heating with K2CO3 in N,N-dimethylacetamide provides 4-(4-fluorophenoxy)benzaldehyde (III), which is finally converted into the target product by reaction with semicarbazide hydrochloride (IV) and NaOAc in the refluxing mixture EtOH/H2O.

参考文献No.602113
标题:Development of a high-performance liquid chromatographic-tandem mass spectrometric method for the determination of pharmacokinetics of Co 102862 in mouse, rat, monkey and dog plasma
作者:Ramu, K.; Lam, G.N.; Chien, B.
来源:J Chromatogr B - Biomed Appl 2000,749(1),1
合成路线图解说明:

Condensation of 4-fluorophenol (I) with 4-fluorobenzaldehyde (II) by heating with K2CO3 in N,N-dimethylacetamide provides 4-(4-fluorophenoxy)benzaldehyde (III), which is finally converted into the target product by reaction with semicarbazide hydrochloride (IV) and NaOAc in the refluxing mixture EtOH/H2O.

参考文献No.606216
标题:Anticonvulsant activity of various aryl, aryldine and aryloxyaryl semicarbazones
作者:Quail, J.W.; Dimmock, J.R.; Puthucode, R.N.; Pugazhenthi, U.; Stables, J.P.
来源:Eur J Med Chem 1998,33(7-8),595
合成路线图解说明:

Condensation of 4-fluorophenol (I) with 4-fluorobenzaldehyde (II) by heating with K2CO3 in N,N-dimethylacetamide provides 4-(4-fluorophenoxy)benzaldehyde (III), which is finally converted into the target product by reaction with semicarbazide hydrochloride (IV) and NaOAc in the refluxing mixture EtOH/H2O.

Drug Information Express,Drug R&D,Chemical Database,Patent Search.
Copyright © 2006-2026 Drug Future. All rights reserved.Contact Us