【药物名称】Lopinavir, A-157378.0, RS-346, ABT-378, Aluviran
化学结构式(Chemical Structure):
参考文献No.33625
标题:Retroviral protease inhibiting cpds.
作者:Sham, H.L.; Stewart, K.D.; Kempf, D.J. (Abbott Laboratories Inc.)
来源:EP 0876353; JP 2000502997; WO 9721683
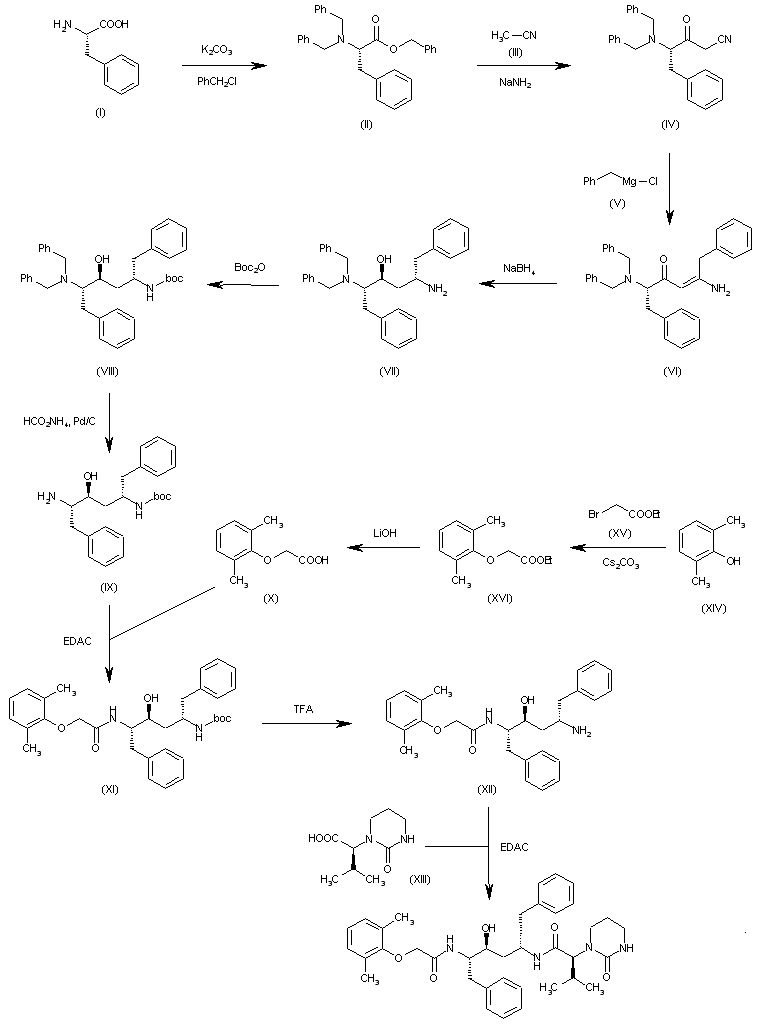
合成路线图解说明:

The reaction of L-phenylalanine (I) with benzyl bromide and K2CO3 in hot ethanol/water gives N,N,O-tribenzyl derivative (II), which is condensed with acetonitrile (III) by means of NaNH2 in THF yielding the pentanenitrile (IV). The reaction of nitrile (IV) with benzylmagnesium chloride (V) in THF affords the diphenylhexenone (VI), which is reduced with NaBH4 in THF to give the diphenylhexanol (VII). The protection of the amino group of (VII) with Boc2O and K2CO3 in methyl tert-butyl ether yields the carbamate (VIII), which is debenzylated with ammonium formate over Pd/C in methanol affording the amino compound (IX). The condensation of (IX) with 2-(2,6-dimethylphenoxy)acetic acid (X) by means of EDAC in DMF provides the corresponding amide (XI), which is deprotected at the carbamate group with TFA in dichloromethane to give (XII) with a free amino group. Finally, this compound is condensed with 3-methyl 2(S)-(2-oxoperhydropyrimidin-1-yl)butyric acid (XIII) by means of EDAC in DMF or SOCl2 and imidazole to furnish the target compound. The intermediate 2-(2,6-dimethylphenoxy)acetic acid (X) has been obtained by condensation of 2,6-dimethylphenol (XIV) with ethyl 2-bromoacetate (XV) by means of Cs2CO3 in refluxing dioxane to give the acetate ester (XVI), which is hydrolyzed with LiOH ethanol/water to afford the target intermediate (X).

合成路线图解说明:

The intermediate 3-methyl 2(S)-(2-oxoperhydropyrimidin1-yl)butyric acid (XIII) has been obtained as follows: The oxidation of 3-(benzyloxycarbonylamino)-1-propanol (XVII) with oxalyl chloride in dichloromethane gives the corresponding aldehyde (XVIII), which is reductocondensed with L-valine methyl ester (XIX) by means NaBH3CN in methanol yielding the N-substituted valine (XX). The cyclization of (XX) by elimination of the benzyloxycarbonyl group by hydrogenation with H2 over Pd/C in dichloromethane, followed by reaction with carbonyldiimidazole (CDI) affords the 3-methyl 2(S)-(2-oxoperhydropyrimidin-1-yl)butyric acid methyl ester (XXI). Finally, this compound is hydrolyzed with LiOH in dioxane/water to afford the target intermediate (XIII).

参考文献No.33627
标题:Retroviral protease inhibiting cpds.
作者:Sham, H.; Norbeck, D.W.; Chen, X.; Betebenner, D.A.; Kempf, D.J.; Herrin, T.R.; Kumar, G.N.; Condon, S.L.; Cooper, A.J.; Dickman, D.A.; Hannick, S.M.; Kolaczkowski, L.; Oliver, P.A.; Plata, D.J.; (Abbott Laboratories Inc.)
来源:EP 0882024; JP 2000502085; US 5914332; WO 9721685
合成路线图解说明:

The reaction of L-phenylalanine (I) with benzyl bromide and K2CO3 in hot ethanol/water gives N,N,O-tribenzyl derivative (II), which is condensed with acetonitrile (III) by means of NaNH2 in THF yielding the pentanenitrile (IV). The reaction of nitrile (IV) with benzylmagnesium chloride (V) in THF affords the diphenylhexenone (VI), which is reduced with NaBH4 in THF to give the diphenylhexanol (VII). The protection of the amino group of (VII) with Boc2O and K2CO3 in methyl tert-butyl ether yields the carbamate (VIII), which is debenzylated with ammonium formate over Pd/C in methanol affording the amino compound (IX). The condensation of (IX) with 2-(2,6-dimethylphenoxy)acetic acid (X) by means of EDAC in DMF provides the corresponding amide (XI), which is deprotected at the carbamate group with TFA in dichloromethane to give (XII) with a free amino group. Finally, this compound is condensed with 3-methyl 2(S)-(2-oxoperhydropyrimidin-1-yl)butyric acid (XIII) by means of EDAC in DMF or SOCl2 and imidazole to furnish the target compound. The intermediate 2-(2,6-dimethylphenoxy)acetic acid (X) has been obtained by condensation of 2,6-dimethylphenol (XIV) with ethyl 2-bromoacetate (XV) by means of Cs2CO3 in refluxing dioxane to give the acetate ester (XVI), which is hydrolyzed with LiOH ethanol/water to afford the target intermediate (X).

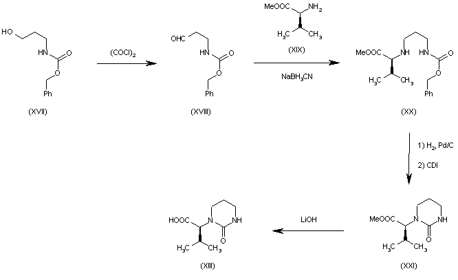
合成路线图解说明:

The intermediate 3-methyl 2(S)-(2-oxoperhydropyrimidin1-yl)butyric acid (XIII) has been obtained as follows: The oxidation of 3-(benzyloxycarbonylamino)-1-propanol (XVII) with oxalyl chloride in dichloromethane gives the corresponding aldehyde (XVIII), which is reductocondensed with L-valine methyl ester (XIX) by means NaBH3CN in methanol yielding the N-substituted valine (XX). The cyclization of (XX) by elimination of the benzyloxycarbonyl group by hydrogenation with H2 over Pd/C in dichloromethane, followed by reaction with carbonyldiimidazole (CDI) affords the 3-methyl 2(S)-(2-oxoperhydropyrimidin-1-yl)butyric acid methyl ester (XXI). Finally, this compound is hydrolyzed with LiOH in dioxane/water to afford the target intermediate (XIII).

参考文献No.563501
标题:Synthesis of ABT-378, an HIV protease inhibitor candidate: Avoiding the use of carbodiimides in a difficult peptide coupling
作者:Stoner, E.J.; et al.
来源:Org Process Res Dev 1999,3(2),145
合成路线图解说明:

The reaction of L-phenylalanine (I) with benzyl bromide and K2CO3 in hot ethanol/water gives N,N,O-tribenzyl derivative (II), which is condensed with acetonitrile (III) by means of NaNH2 in THF yielding the pentanenitrile (IV). The reaction of nitrile (IV) with benzylmagnesium chloride (V) in THF affords the diphenylhexenone (VI), which is reduced with NaBH4 in THF to give the diphenylhexanol (VII). The protection of the amino group of (VII) with Boc2O and K2CO3 in methyl tert-butyl ether yields the carbamate (VIII), which is debenzylated with ammonium formate over Pd/C in methanol affording the amino compound (IX). The condensation of (IX) with 2-(2,6-dimethylphenoxy)acetic acid (X) by means of EDAC in DMF provides the corresponding amide (XI), which is deprotected at the carbamate group with TFA in dichloromethane to give (XII) with a free amino group. Finally, this compound is condensed with 3-methyl 2(S)-(2-oxoperhydropyrimidin-1-yl)butyric acid (XIII) by means of EDAC in DMF or SOCl2 and imidazole to furnish the target compound. The intermediate 2-(2,6-dimethylphenoxy)acetic acid (X) has been obtained by condensation of 2,6-dimethylphenol (XIV) with ethyl 2-bromoacetate (XV) by means of Cs2CO3 in refluxing dioxane to give the acetate ester (XVI), which is hydrolyzed with LiOH ethanol/water to afford the target intermediate (X).

参考文献No.587657
标题:Synthesis of HIV protease inhibitor ABT-378 (lopinavir)
作者:Stoner, E.J.; et al.
来源:Org Process Res Dev 2000,4(4),264
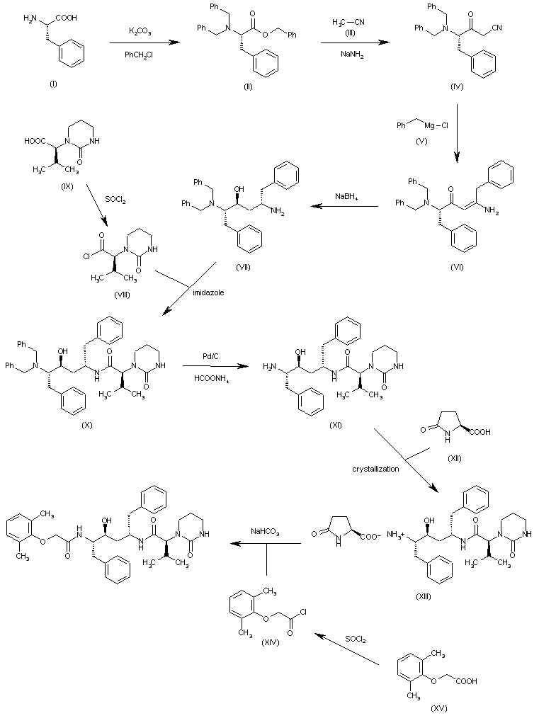
合成路线图解说明:

The reaction of L-phenylalanine (I) with benzyl bromide and K2CO3 in hot EtOH/H2O gives N,N,O-tribenzyl derivative (II), which is condensed with acetonitrile (III) by means of NaNH2 in THF yielding the pentanenitrile (IV). The reaction of nitrile (IV) with benzylmagnesium chloride (V) in THF affords the diphenylhexenone (VI), which is reduced with NaBH4 in THF to give the diphenylhexanol (VII) (slightly impurified (~10%) with other diastereomers that are not eliminated at this stage). The condensation of (VII) with acid chloride (VIII) (obtained by reaction of acid (IX) with SOCl2) in the presence of imidazole yields the amide (X), which is debenzylated with ammonium formate over Pd/C in methanol affording the amine (XI). At this stage the purification (elimination of the diastereomers) has been performed by crystallization of its salt with L-pyroglutamic acid (XII) in EtOH/DMF, pure salt (XIII) being obtained. Finally, this compound is condensed with the acid chloride (XIV) (obtained by reaction of acid (XV) with SOCl2) by means of NaHCO3 in ethyl acetate/water. The intermediates, the acids (IX) and (XV), have been obtained as indicated in schemes 24659001a and 24659001b (intermediates (XIII) and (X) of these schemes, respectively).

Drug Information Express,Drug R&D,Chemical Database,Patent Search.
Copyright © 2006-2026 Drug Future. All rights reserved.Contact Us