【药物名称】Capsavanil, KR-25018, DA-5018(monohydrochloride)
化学结构式(Chemical Structure):
参考文献No.43814
标题:Novel phenylacetamide derivs. and processes for the preparation thereof
作者:Lee, K.S.; Choi, J.K.; Hong, M.S.; Kim, H.S.; Lim, H.J.; Ha, D.C.; Park, N.S. (Korea Research Institute of Chemical Technology)
来源:EP 0525360; US 5242944
合成路线图解说明:

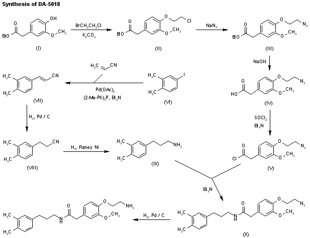
The condensation of 3,4-dimethylbenzyl chloride (I) with diethyl malonate (II) by means of sodium ethoxide ethanol gives the diethyl 2-(3,4-dimethylbenzyl)malonate (III), which by treatment with aqueous refluxing NaOH and the with refluxing aqueous sulfuric acid yields 3-(3,4-dimethylphenyl)propionic acid (IV). The reaction of (IV) with refluxing SOCl2 affords the corresponding acyl chloride (V), which is treated with ammonia providing the amide (VI). The reduction of (VI) with LiAlH4 in refluxing THF gives 3-(3,4-dimethylphenyl)propylamine (VII), which by condensation with 2-(4-hydroxy-3-methoxyphenyl)acetic acid (VIII) by heating at 150 C yields the corresponding amide (IX). The alkylation of the phenolic group of (IX) with 1,2-dibromoethane (X) and NaH in refluxing THF affords the 2-bromoethoxy derivative (XI), which by treatment with NaN3 and Bu4NBr in refluxing benzene gives the 2-azidoethoxy derivative (XII). Finally, this compound is reduced with H2 over Pd/C in ethyl acetate to afford the target compound.

合成路线图解说明:

The 2-chloroethylation of ethyl homovanillate (I) with 1-bromo-2-chloroethane and K2CO3 in acetone gives ethyl 2-[4-(2-chloroethoxy)-3-methoxyphenyl]acetate (II), which is treated with sodium azide in toluene followed by hydrolysis with aqueous NaOH in MeOH, yielding 2-[4-(2-azidoethoxy)-3-methoxyphenyl]acetic acid (IV). The reaction of (IV) with SOCl2 and Et3N affords the acyl chloride (V). The reaction of 3-iodo-o-xylene (VI) and acrylonitrile under the Heck reaction conditions [Pd(OAc)2, tri-o-tolylphosphine and Et3N in MeCN] gives an isomeric mixture of 3-(3,4-dimethyl-phenyl)-2-propenenitrile (VII), which is hydrogenated with Pd/C followed by Raney-Ni to provide 3-(3,4-dimethylphenyl)propylamine (IX). The coupling reaction between the acyl chloride (V) and amine (IX) with Et3N in CH2Cl2 gives the amide (X). Finally, Pd/C catalyzed hydrogenation of this compound affords 2-[4-(2-aminoethoxy)-3-methoxyphenyl]-N-[3-(3,4-dimethylphenyl)propyl]acetamide.

参考文献No.583816
标题:Synthesis of homovanillic amide derivatives and their analgesic activity
作者:Lee, J.-C.; Lee, K.-S.; Han, M.-S.; Jung, Y.S.; Choi, J.; Park, N.-S.; Ha, D.-C.; Seong, C.-M.; Lim, H.-J.; Choi, S.W.
来源:Arch Pharmacal Res 1996,19(3),246
合成路线图解说明:

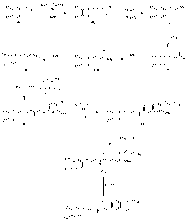
The condensation of 3,4-dimethylbenzyl chloride (I) with diethyl malonate (II) by means of sodium ethoxide ethanol gives the diethyl 2-(3,4-dimethylbenzyl)malonate (III), which by treatment with aqueous refluxing NaOH and the with refluxing aqueous sulfuric acid yields 3-(3,4-dimethylphenyl)propionic acid (IV). The reaction of (IV) with refluxing SOCl2 affords the corresponding acyl chloride (V), which is treated with ammonia providing the amide (VI). The reduction of (VI) with LiAlH4 in refluxing THF gives 3-(3,4-dimethylphenyl)propylamine (VII), which by condensation with 2-(4-hydroxy-3-methoxyphenyl)acetic acid (VIII) by heating at 150 C yields the corresponding amide (IX). The alkylation of the phenolic group of (IX) with 1,2-dibromoethane (X) and NaH in refluxing THF affords the 2-bromoethoxy derivative (XI), which by treatment with NaN3 and Bu4NBr in refluxing benzene gives the 2-azidoethoxy derivative (XII). Finally, this compound is reduced with H2 over Pd/C in ethyl acetate to afford the target compound.

参考文献No.584151
标题:N-Aralkylated 4-(2-aminoethoxy)phenylacetamide derivatives as potent analgesic and antiinflammatory agents
作者:Lim, H.-J.; Park, N.-S.; Choi, J.-K.; Ha, D.-C.; Kim, H.-S.; Lee, B.-Y.
来源:Korean Journal of Medicinal Chemistry 1991,1(1),36
合成路线图解说明:

The condensation of 3,4-dimethylbenzyl chloride (I) with diethyl malonate (II) by means of sodium ethoxide ethanol gives the diethyl 2-(3,4-dimethylbenzyl)malonate (III), which by treatment with aqueous refluxing NaOH and the with refluxing aqueous sulfuric acid yields 3-(3,4-dimethylphenyl)propionic acid (IV). The reaction of (IV) with refluxing SOCl2 affords the corresponding acyl chloride (V), which is treated with ammonia providing the amide (VI). The reduction of (VI) with LiAlH4 in refluxing THF gives 3-(3,4-dimethylphenyl)propylamine (VII), which by condensation with 2-(4-hydroxy-3-methoxyphenyl)acetic acid (VIII) by heating at 150 C yields the corresponding amide (IX). The alkylation of the phenolic group of (IX) with 1,2-dibromoethane (X) and NaH in refluxing THF affords the 2-bromoethoxy derivative (XI), which by treatment with NaN3 and Bu4NBr in refluxing benzene gives the 2-azidoethoxy derivative (XII). Finally, this compound is reduced with H2 over Pd/C in ethyl acetate to afford the target compound.

参考文献No.599437
标题:DA-5018
作者:Park, N.S.; Kim, W.B.; Kim, S.H.; Seong, C.M.; Jung, Y.S.
来源:Drugs Fut 2000,25(11),1131
合成路线图解说明:

The 2-chloroethylation of ethyl homovanillate (I) with 1-bromo-2-chloroethane and K2CO3 in acetone gives ethyl 2-[4-(2-chloroethoxy)-3-methoxyphenyl]acetate (II), which is treated with sodium azide in toluene followed by hydrolysis with aqueous NaOH in MeOH, yielding 2-[4-(2-azidoethoxy)-3-methoxyphenyl]acetic acid (IV). The reaction of (IV) with SOCl2 and Et3N affords the acyl chloride (V). The reaction of 3-iodo-o-xylene (VI) and acrylonitrile under the Heck reaction conditions [Pd(OAc)2, tri-o-tolylphosphine and Et3N in MeCN] gives an isomeric mixture of 3-(3,4-dimethyl-phenyl)-2-propenenitrile (VII), which is hydrogenated with Pd/C followed by Raney-Ni to provide 3-(3,4-dimethylphenyl)propylamine (IX). The coupling reaction between the acyl chloride (V) and amine (IX) with Et3N in CH2Cl2 gives the amide (X). Finally, Pd/C catalyzed hydrogenation of this compound affords 2-[4-(2-aminoethoxy)-3-methoxyphenyl]-N-[3-(3,4-dimethylphenyl)propyl]acetamide.

参考文献No.803847
标题:Synthesis of 3-arylpropylamine derivatives from aryl halides using Heck reaction
作者:Lee, C.W.; Park, N.S.; Seong, C.M.; Jung, Y.S.; Baek, G.H.; Cho, S.J.
来源:Bull Korean Chem Soc 1999,20232-236
合成路线图解说明:

The 2-chloroethylation of ethyl homovanillate (I) with 1-bromo-2-chloroethane and K2CO3 in acetone gives ethyl 2-[4-(2-chloroethoxy)-3-methoxyphenyl]acetate (II), which is treated with sodium azide in toluene followed by hydrolysis with aqueous NaOH in MeOH, yielding 2-[4-(2-azidoethoxy)-3-methoxyphenyl]acetic acid (IV). The reaction of (IV) with SOCl2 and Et3N affords the acyl chloride (V). The reaction of 3-iodo-o-xylene (VI) and acrylonitrile under the Heck reaction conditions [Pd(OAc)2, tri-o-tolylphosphine and Et3N in MeCN] gives an isomeric mixture of 3-(3,4-dimethyl-phenyl)-2-propenenitrile (VII), which is hydrogenated with Pd/C followed by Raney-Ni to provide 3-(3,4-dimethylphenyl)propylamine (IX). The coupling reaction between the acyl chloride (V) and amine (IX) with Et3N in CH2Cl2 gives the amide (X). Finally, Pd/C catalyzed hydrogenation of this compound affords 2-[4-(2-aminoethoxy)-3-methoxyphenyl]-N-[3-(3,4-dimethylphenyl)propyl]acetamide.

Drug Information Express,Drug R&D,Chemical Database,Patent Search.
Copyright © 2006-2026 Drug Future. All rights reserved.Contact Us