【药物名称】
化学结构式(Chemical Structure):
参考文献No.32022
标题:Indole deriv. and medicine containing the same
作者:Yoshida, K.; Kurimoto, T.; Takei, M.; Sato, H. (Zeria Pharmaceutical Co., Ltd.)
来源:EP 0753511; US 5760040; WO 9526955
合成路线图解说明:

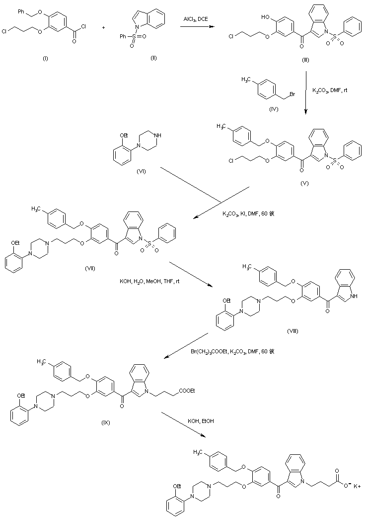
Title compound was prepared by two synthetic ways. Friedel-Crafts acylation of N-(phenylsulfonyl)indole (II) with acid chloride (I) with concomitant O-debenzylation in the presence of AlCl3 yielded ketone (III). Then, hydroxyl group alkylation of (III) with alpha-bromo-p-xylene (IV) provided p-methylbenzyl ether (V). Subsequent displacement of the chloro group in (IV) by 1-(2-ethoxyphenyl)piperazine (VI) furnished (VII). After hydrolysis of sulfonyl group of (VII) with KOH, the resulting deprotected indole (VIII) was alkylated with ethyl 4-bromobutyrate to give (IX). Finally, hydrolysis of the ethyl ester of (IX) by means of ethanolic KOH provided the title carboxylic acid potassium salt.

合成路线图解说明:

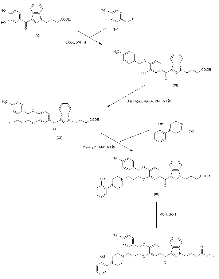
In a related procedure, dihydroxybenzoyl indole (X) was selectively alkylated at 4-hydroxyl group with alpha-bromo-p-xylene (IV) to provide ether (XI). Further alkylation of (XI) with 1-bromo-3-chloropropane gave (XII). Then, halogen displacement in (XII) by piperazine (VI) furnished the precursor ethyl ester (IX), which was finally hydrolyzed to the target carboxylic acid as above.

参考文献No.539995
标题:Dual-acting agents with alpha1-adrenoceptor antagonistic and steroid 5 alpha-reductase inhibitory activities. Synthesis and evaluation of arylpiperazine derivatives
作者:Sato, H.; Kitagawa, O.; Aida, Y.; Chikazawa, J.; Kurimoto, T.; Takei, M.; Fukuta, Y.; Yoshida, K.
来源:Bioorg Med Chem Lett 1999,9(11),1553
合成路线图解说明:

Title compound was prepared by two synthetic ways. Friedel-Crafts acylation of N-(phenylsulfonyl)indole (II) with acid chloride (I) with concomitant O-debenzylation in the presence of AlCl3 yielded ketone (III). Then, hydroxyl group alkylation of (III) with alpha-bromo-p-xylene (IV) provided p-methylbenzyl ether (V). Subsequent displacement of the chloro group in (IV) by 1-(2-ethoxyphenyl)piperazine (VI) furnished (VII). After hydrolysis of sulfonyl group of (VII) with KOH, the resulting deprotected indole (VIII) was alkylated with ethyl 4-bromobutyrate to give (IX). Finally, hydrolysis of the ethyl ester of (IX) by means of ethanolic KOH provided the title carboxylic acid potassium salt.

合成路线图解说明:

In a related procedure, dihydroxybenzoyl indole (X) was selectively alkylated at 4-hydroxyl group with alpha-bromo-p-xylene (IV) to provide ether (XI). Further alkylation of (XI) with 1-bromo-3-chloropropane gave (XII). Then, halogen displacement in (XII) by piperazine (VI) furnished the precursor ethyl ester (IX), which was finally hydrolyzed to the target carboxylic acid as above.

Drug Information Express,Drug R&D,Chemical Database,Patent Search.
Copyright © 2006-2026 Drug Future. All rights reserved.Contact Us