【药物名称】
化学结构式(Chemical Structure):
参考文献No.485999
标题:New acetylene based histamine H3 receptor antagonists derived from the marine natural product verongamine
作者:Ali, S.M.; Tedford, C.E.; Gregory, R.; Yates, S.L.; Phillips, J.G.
来源:Bioorg Med Chem Lett 1998,8(10),1133
合成路线图解说明:

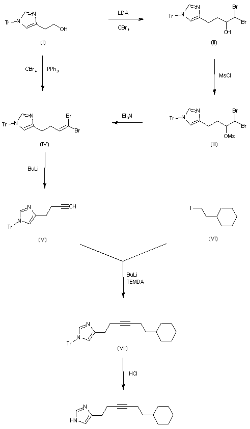
The reaction of 3-[1-(triphenylmethyl)imidazol-4-yl]propionaldehyde (I) with carbon tetrabromide by means of lithium dicyclohexylamine gives 1,1-dibromo-4-[1-(triphenylmethyl)imidazol-4-yl]-2-butanol (II), which is treated with methanesulfonyl chloride in THF to yield the corresponding mesylate (III). The elimination reaction over (III) with triethylamine affords 1,1-dibromo-4-[1-(triphenylmethyl)imidazol-4-yl]-1-butene (IV), which by tretment with butyllithium in THF gives 4-[1-(triphenylmethyl)imidazol-4-yl]-1-butyne (V). The condensation of (V) with 2-cyclohexylethyl iodide (VI) by means of butyllithium and tetramethylethylenediamine (TEMDA) gives the 3-hexyne derivative (VII), which is finally deprotected with HCl in hot ethanol.

Drug Information Express,Drug R&D,Chemical Database,Patent Search.
Copyright © 2006-2026 Drug Future. All rights reserved.Contact Us