【药物名称】
化学结构式(Chemical Structure):
参考文献No.32815
标题:Aryl aliphatic acids
作者:Johnson, C.R.; Gorins, G.; Honn, K.V.; Marnett, L.J. (Vanderbilt University; Wayne State University)
来源:US 5238832
合成路线图解说明:

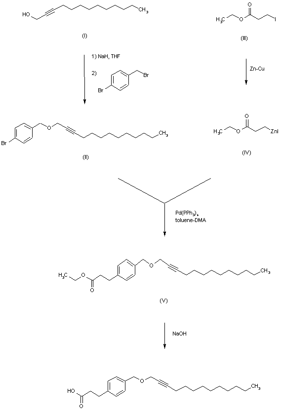
The sodium salt prepared from 2-tridecyn-1-ol (I) and sodium hydride in THF was O-alkylated with 4-bromobenzyl bromide to afford ether (II). Then, 2-(carboethoxy)ethylzinc iodide (IV), (obtained from ethyl 3-iodopropanoate (III) and an excess of zinc-copper couple), was condensed with this bromoether (II) in the presence of a triphenylphosphine palladium (0) catalyst in a refluxing mixture of toluene and N,N-dimethyl acetamide. Finally, the resulting 3-(phenyl)propanoic ester (V) was hydrolyzed with NaOH in methanol-water.

参考文献No.401294
标题:(Carboxyalkyl)benzyl propargyl ethers as selective inhibitors of leukocyte-type 12-lipoxygenases
作者:Gorins, G.; Kuhnert, L.; Johnson, C.R.; Marnett, L.J.
来源:J Med Chem 1996,39(25),4871
合成路线图解说明:

The sodium salt prepared from 2-tridecyn-1-ol (I) and sodium hydride in THF was O-alkylated with 4-bromobenzyl bromide to afford ether (II). Then, 2-(carboethoxy)ethylzinc iodide (IV), (obtained from ethyl 3-iodopropanoate (III) and an excess of zinc-copper couple), was condensed with this bromoether (II) in the presence of a triphenylphosphine palladium (0) catalyst in a refluxing mixture of toluene and N,N-dimethyl acetamide. Finally, the resulting 3-(phenyl)propanoic ester (V) was hydrolyzed with NaOH in methanol-water.

Drug Information Express,Drug R&D,Chemical Database,Patent Search.
Copyright © 2006-2026 Drug Future. All rights reserved.Contact Us