【药物名称】
化学结构式(Chemical Structure):
参考文献No.400893
标题:Synthesis and evaluation of the anticonvulsant activity of a series of 2-amino-1-phenyl-1-propanols derived from the metabolites of the antidepressant bupropion
作者:Musso, D.L.; et al.
来源:Bioorg Med Chem Lett 1997,7(1),1
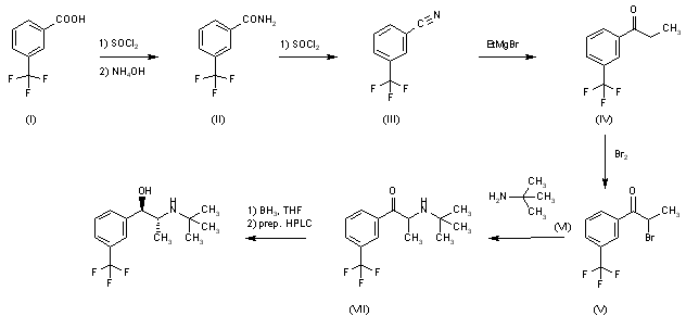
合成路线图解说明:

The reacion of 3-(trifluoromethyl) benzoic acid (I) first with SOCl2 (or oxalyl chloride) and then with NH4OH in dioxane given the corresponding amide (II), which is treated with SOCl2 giving 3-(trifluoromethyl)benzonitrile (III) was condensed with ethylmagnesium bromide to afford ketone (IV), which was brominated in either methanol or dioxane to yield bromoketone (V). Alkylation of tert-butylamine (VI) with bromoketone (V) provided the aminoketone (VII). Reduction of this ketone to the aminoalcohol was performed with several reagents, among them, borane in THF afforded the most favourable ratio for the desired treo diastereoisomer (80:20). Finally, the diastereomeric mixture was separated by preparative HPLC.

Drug Information Express,Drug R&D,Chemical Database,Patent Search.
Copyright © 2006-2026 Drug Future. All rights reserved.Contact Us