【药物名称】MK-0767, MK-767, KRP-297
化学结构式(Chemical Structure):
参考文献No.523538
标题:(3-Substituted benzyl)thiazolidine-2,4-diones as structurally new antihyperglycemic agents
作者:Nomura, M.; Kinoshita, S.; Satoh, H.; Maeda, T.; Murakami, K.; Tsunoda, M.; Miyachi, H.; Awano, K.
来源:Bioorg Med Chem Lett 1999,9(4),533
合成路线图解说明:

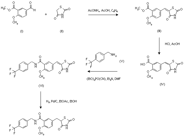
1) The Knoevenagel condensation of aldehyde (I) with rhodanine (II) using NH4OAc and AcOH afforded benzylidene- thiazolidine (III). The methyl ester group of (III) was hydrolyzed with HCl in AcOH, and the resulting carboxylic acid (IV) was coupled to 4-(trifluoromethyl)benzylamine (V) in the presence of diethyl phosphorocyanidate and Et3N to produce amide (VI). Subsequent hydrogenation of the olefinic double bond of (VI) over Pd/C provided the target benzylthiazolidine.

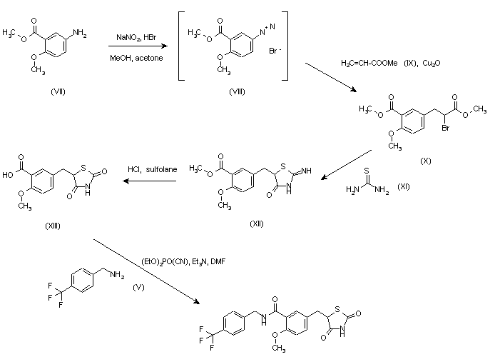
合成路线图解说明:

2) An alternative method starting from aniline (VII) employed the Meerwein arylation of methyl acrylate (IX) with the intermediate diazonium salt (VIII) in the presence of cuprous oxide. The resulting bromoester (X) was cyclized with thiourea (XI) in Et2O, followed by hydrolysis with HCl in sulfolane to afford (XIII). Finally, acid (XIII) was coupled to benzylamine (V) in the presence of (EtO)2POCN and Et3N.

Drug Information Express,Drug R&D,Chemical Database,Patent Search.
Copyright © 2006-2026 Drug Future. All rights reserved.Contact Us