【药物名称】FK-355
化学结构式(Chemical Structure):
参考文献No.31848
标题:1-Benzoyl-2-(indolyl-3-alkyl)-piperazine derivs. as neurokinin receptor antagonists
作者:Matsuo, M.; Hagiwara, D.; Manabe, T.; Konishi, N.; Shigenaga, S.; Murano, K.; Matsuda, H.; Miyake, H. (Fujisawa Pharmaceutical Co., Ltd.)
来源:EP 0846116; JP 1999505830; WO 9637489
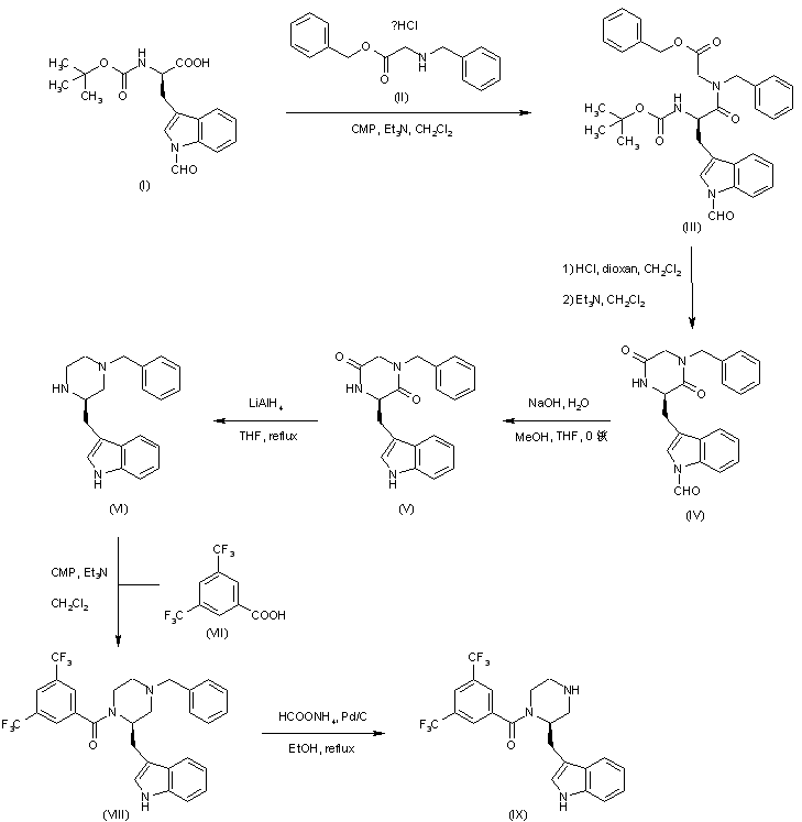
合成路线图解说明:

Coupling of N-Boc-D-formyltryptophan (I) with N-benzylglycine benzyl ester (II) by means of 2-chloro-1-methylpyridinium iodide (CMP) gave the protected dipeptide (III). Acid cleavage of the N-Boc group of (III) , followed by intramolecular cyclization under basic conditions, produced the diketopiperazine (IV). After basic hydrolysis of the N-formyl group of (IV), the resulting diketopiperazine (V) was reduced to piperazine (VI) using LiAlH4. Subsequent coupling of piperazine (VI) with 3,5-bis(trifluoromethyl)benzoic acid (VII) afforded amide (VIII). The N-benzyl group was then removed by transfer hydrogenolysis with ammonium formate and Pd/C, yielding piperazine (IX).

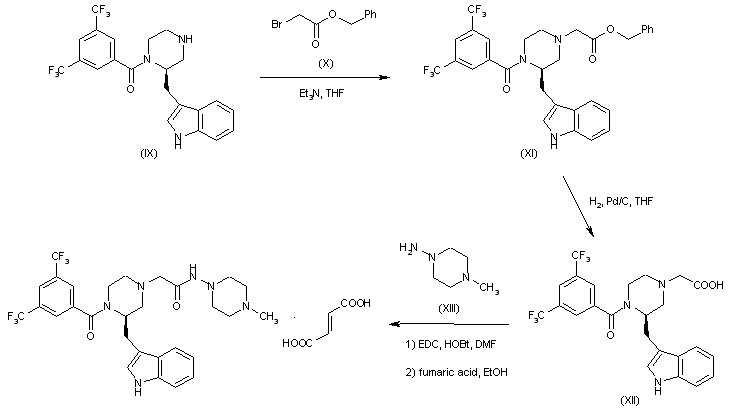
合成路线图解说明:

The piperazine (IX) was alkylated with benzyl bromoacetate (X) to give ester (XI), which was converted to carboxylic acid (XII) by catalytic hydrogenolysis of the benzyl ester group. Then, coupling of (XII) with 1-amino-4-methylpiperazine (XIII) produced the corresponding hydrazide. Finally, treatment with fumaric acid in EtOH generated the title fumarate salt.

Drug Information Express,Drug R&D,Chemical Database,Patent Search.
Copyright © 2006-2026 Drug Future. All rights reserved.Contact Us