【药物名称】Resveratrol
化学结构式(Chemical Structure):
参考文献No.50753
标题:Synthesis of resveratrol
作者:Meredith, E.; Andrus, M. (Brigham Young University)
来源:WO 0160774
合成路线图解说明:

The reaction of 3,5-dihydroxybenzoic acid (I) with Bn-Br, K2CO3 and 18-crown-6 in refluxing acetone gives 3,5-bis(benzyloxy)benzoic acid (II), which is reduced with LiAlH4 in ethyl ether to yield the corresponding benzyl alcohol (III). The reaction of (III) with PBr3 in ethyl ether/pyridine affords the benzyl bromide (IV), which is treated with triisopropyl phosphite (V) at 140-150 C to provide the phosphonate (VI). The condensation of (VI) with 4-benzyloxybenzaldehyde (VII) by means of NaOMe in DMF gives (E)-3,4',5-tris(benzyloxy)stilbene (VIII), which is finally debenzylated by treatment with BBr3 in dichloromethane. Alternatively, the synthesis of the target product can be performed by first condensation of 3,5-dimethoxybenzoyl chloride (IX) with 4-acetoxystyrene (X) by means of palladium(II) acetate and Et3N in p-xylene to yield (E)-4-acetoxy-3',5'-dimethoxystilbene (XI), whose acetoxy group is subjected to saponification either with NaOMe or with K2CO3 in THF/H2O/MeOH and whose methoxy groups are cleaved by means of BBr3 in CH2Cl2.

参考文献No.656106
标题:A new efficient resveratrol synthesis
作者:Guiso, M.; et al.
来源:Tetrahedron Lett 2002,43(4),597
合成路线图解说明:

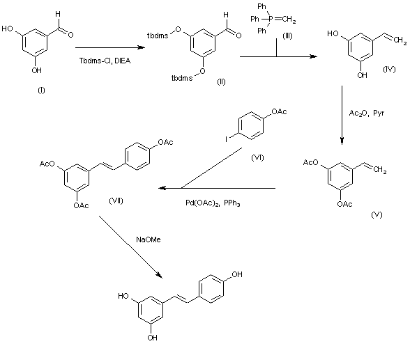
The reaction of 3,5-dihydroxybenzaldehyde (I) with Tbdms-Cl gives the disilylated aldehyde (II), which by a Wittig condensation with methylenetriphenylphosphorane (III) yields the 3,5-dihydroxystyrene (IV). The reaction of (IV) with acetic anhydride and pyridine affords 3,5-diacetoxystyrene (V), which was submitted to a Heck condensation with 4-acetoxyiodobenzene (VI) by means of Pd(OAc)2 and PPh3 in hot acetonitrile to provide 3,4',5-triacetopxy-(E)-stilbene (VII). Finally, this compound is deacetylated by means of NaOMe in THF/methanol to furnish the target resveratrol.

参考文献No.712519
标题:One-pot palladium-catalyzed highly chemo-, regio-, and stereoselective synthesis of trans-stilbene derivatives. A concise and convenient synthesis of resveratrol
作者:Jeffery, T.; Ferber, B.
来源:Tetrahedron Lett 2003,44(1),193
合成路线图解说明:

The reaction of 4-methoxyphenyl iodide (I) with trimethylvinyllsilane (II) and 3,5-dimethoxyphenyl iodide (III) by means of Pd(dba)2, KF, tetrabutylammonium chloride (TBAC) and K2CO3 in toluene gives the trimethoxystilbene (IV), which is finally demethylated by reaction with BCl3 and tetrabutylammonium iodide (TBAI) in dichloromethane to afford the target Resveratrol.

Drug Information Express,Drug R&D,Chemical Database,Patent Search.
Copyright © 2006-2026 Drug Future. All rights reserved.Contact Us