【药物名称】WB-2663B, FR-901464
化学结构式(Chemical Structure):
参考文献No.603221
标题:Total synthesis of FR901464. Convergent assembly of chiral componenents prepared by asymmetric catalysis
作者:Thompson, C.F.; Jamison, T.F.; Jacobsen, E.N.
来源:J Am Chem Soc 2000,122(45),10482
合成路线图解说明:

Synthesis of the unsaturated acid precursor (V) is carried out as follows. Desilylation of 4-(trimethylsilyl)-3-butyn-2-ol (I) with tetrabutylammonium fluoride affords (II). The lithium acetylide generated from alkyne (II) is then carboxylated by CO2 to furnish the pentynoic acid derivative (III). Subsequent acetylation of the alcohol hydroxyl group of (III) leads to acetate ester (IV). Then, Lindlar hydrogenation of the triple bond gives rise to the cis alkene (V).

合成路线图解说明:

Hetero Diels-Alder reaction between diene (VI) and aldehyde (VII) in the presence of chiral chromium complex furnishes the optically active dihydropyran compound (VIII). Subsequent oxidation of the silyl enol ether moiety of (VIII) with m CPBA under Rubottom conditions affords the alpha-hydroxy ketone (IX). Reduction of ketone (IX) is accomplished via the tosyl hydrazone (X), which is then reduced to (XI) employing NaBH3CN. Desilylation of (XI) with tetrabutylammonium fluoride gives the terminal acetylene (XII), which is further isomerized to the thermodynamically more stable internal alkyne (XIII) in the presence of potassium tert-butoxide in DMSO. Treatment of (XIII) with Schwartz's reagent, followed by quenching of the vinylzirconium intermediate with I2 leads to the vinyl iodide (XIV). After conversion of alcohol (XIV) into the chloromethanesulfonate (XV), displacement with LiN3 provides azide (XVI).

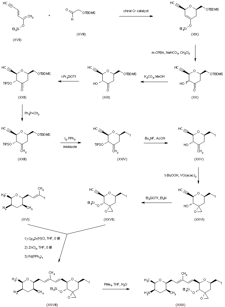
合成路线图解说明:

Enantioselective cycloaddition of dienyne (XVII) with aldehyde (XVIII) affords dihydropyran (XIX). Subsequent Rubottom oxidation of the silyl enol ether (XIX) gives a mixture of epimeric alpha-hydroxy ketones (XX), which is further equilibrated to the desired stereoisomer (XXI) in the presence of K2CO3 in MeOH. After protection of the hydroxyl group of (XXI) as the triisopropylsilyl ether (XXII), Wittig reaction with methylene triphenylphosphorane provides the exocyclic olefin (XXIII). Replacement of the silylated primary hydroxyl of (XXIII) with a iodide group to yield (XXIV) is accomplished by treatment with I2 and PPh3. Removal of the remaining silyl group of (XXIV) with tetrabutylammonium fluoride and acetic acid yields the allylic alcohol (XXV), which can be diastereoselectively epoxidized with t butyl hydroperoxide and vanadyl acetylacetonate, producing (XXVI) as a single isomer. Reprotection of (XXVI) with triisopropylsilyl triflate affords the corresponding silyl ether (XXVII). Hydrozirconation of acetylene (XXVII), followed by Negishi coupling with the vinyl iodide (XVI) furnishes the diene system (XXVIII). Subsequent azido group reduction in (XXVIII) with trimethylphosphine in moist THF provides amine (XXIX).

合成路线图解说明:

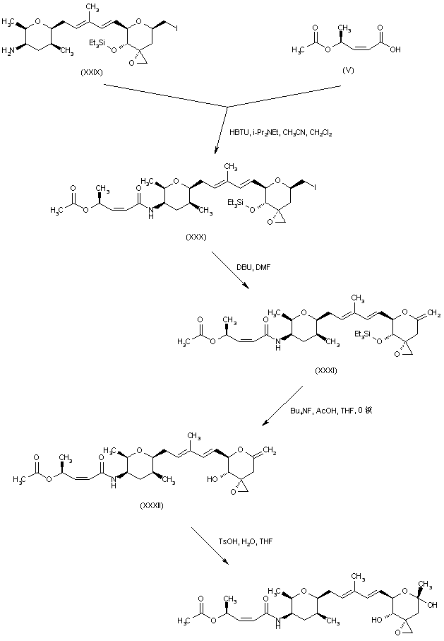
Acylation of amine (XXIX) with the unsaturated acid (V) in the presence of HBTU gives amide (XXX). Dehydroiodination of (XXX) by means of DBU in DMF leads to the exocyclic enol ether (XXXI). The O-silyl group of (XXXI) is then removed with tetrabutylammonium fluoride and acetic acid, to yield alcohol (XXXII). Finally, acid-catalyzed hydration of the cyclic enol ether (XXXII) in aqueous THF gives rise to the target hemiketal compound.

参考文献No.644405
标题:A synthesis of FR901464
作者:Horigome, M.; Motoyoshi, H.; Watanabe, H.; Kitahara, T.
来源:Tetrahedron Lett 2001,42(46),8207
合成路线图解说明:

In a different synthetic strategy, the known Garner's aldehyde (I) is subjected to a Wittig reaction with phosphorane (II) to give the unsaturated ester (III), which is subsequently hydrogenated, producing (IV) as an inseparable mixture of diastereoisomers. Oxazolidine hydrolysis in (IV), followed by cyclization under acidic conditions leads to lactone (V). This is then converted to the thiolactone (VI) upon treatment with Lawesson's reagent in hot toluene. Condensation of thiolactone (VI) with the Wittig reagent (VII), followed by double bond isomerization in the presence of DBU furnishes the dihydropyran derivative (VIII). Stereoselective hydrogenation of the double bond of (VIII) with PtO2 gives rise to the desired all-cis isomer (IX). The methyl vester group of (IX) is then reduced to aldehyde (X) by means of DIBAL in cold toluene.

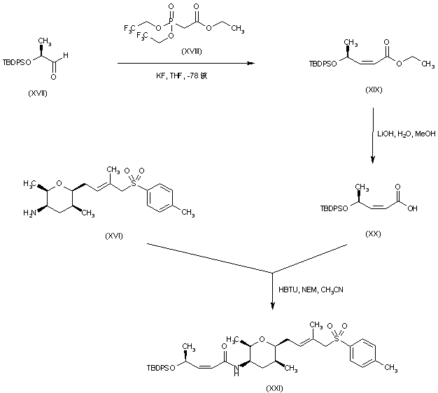
合成路线图解说明:

Wittig reaction of aldehyde (X) with phosphorane (II) produces the unsaturated ester (XI), which is further reduced to the allylic alcohol (XII) with DIBAL in toluene. Treatment of (XII) with CBr4 and PPh3 leads to allyl bromide (XIII). This is then condensed with sodium p-toluenesulfinate (XIV), providing sulfone (XV). Subsequent acidic Boc group cleavage gives amine (XVI).

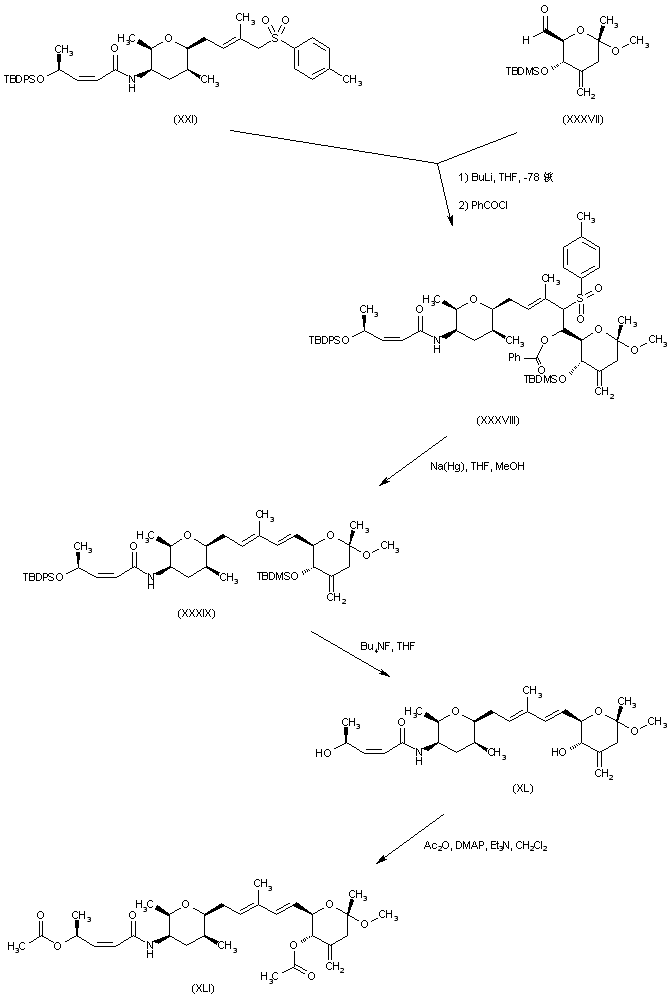
合成路线图解说明:

Horner-Emmons condensation of aldehyde (XVII) with phosphonate (XVIII) gives rise to the Z-olefin (XIX). After ester group hydrolysis, the resultant carboxylic acid (XX) is coupled to amine (XVI) by using HBTU to produce amide (XXI).

合成路线图解说明:

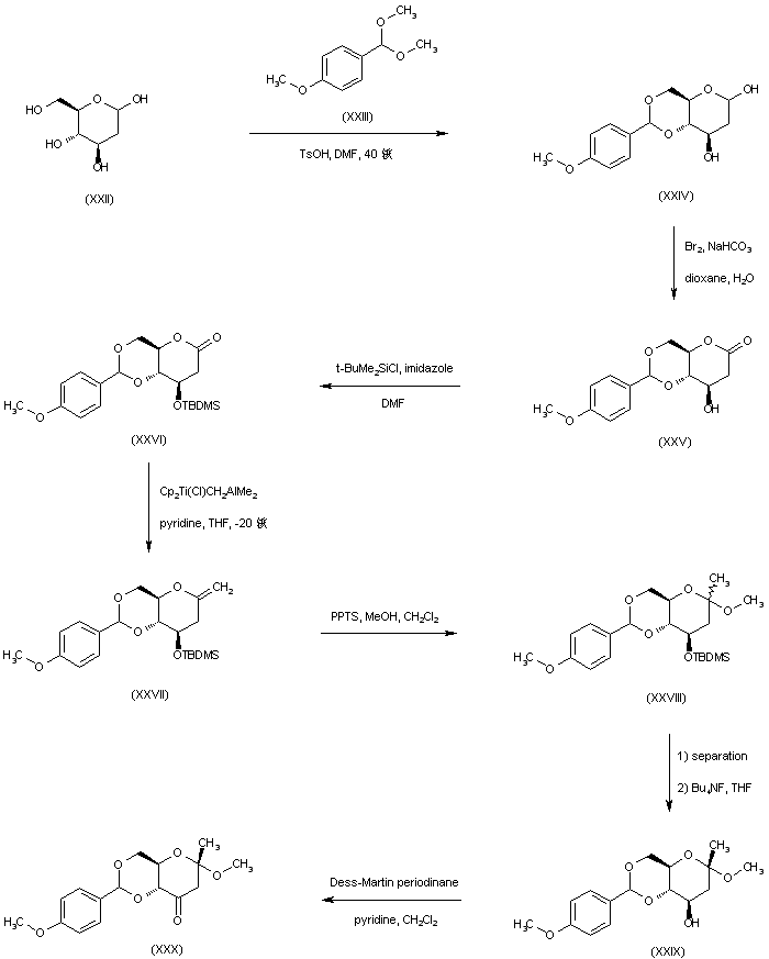
2-Deoxy-D-glucose (XXII) is protected as the cyclic acetal (XXIV) employing p methoxybenzaldehyde dimethyl acetal (XXIII) in the presence of TsOH. Subsequent oxidation of the anomeric hydroxyl group of (XXIV) with Br2 leads to lactone (XXV). After protection of the remaining 3-hydroxyl group of (XXV) as the silyl ether (XXVI), olefination with the Tebbe reagent provides the exocyclic vinyl ether (XXVII). Treatment of (XXVII) with PPTS and MeOH affords a separable mixture of epimeric methylketals (XXVIII). Desilylation of the desired isomer yields alcohol (XXIX), which is then oxidized to ketone (XXX) employing the Dess-Martin periodinane reagent.

合成路线图解说明:

Tebbe methylenation of ketone (XXX) gives the exo-olefin (XXXI). The p methoxybenzylidene acetal moiety of (XXXI) is then reduced with DIBAL to generate the p-methoxybenzyl ether (XXXII). The free hydroxyl group of (XXXII) is then acylated with pivaloyl chloride, providing pivalate ester (XXXIII). Removal of the p-methoxybenzyl group of (XXXIII) by treatment with DDQ, followed by reprotection of the resultant alcohol (XXXIV) with t-butyldimethylsilyl triflate leads to silyl ether (XXXV). The pivalate ester group of (XXXV) is then cleaved by treatment with DIBAL to afford alcohol (XXXVI), which is oxidized to aldehyde (XXXVII) by using the Dess-Martin periodinane.

合成路线图解说明:

Condensation of sulfone (XXI) with aldehyde (XXXVII), followed by treatment with benzoyl chloride affords adduct (XXXVIII). Reductive elimination of sulfone (XXXVIIII) with sodium amalgam leads to the conjugated diene (XXXIX). Both O-silyl groups of (XXXIX) are removed by treatment with tetrabutylammonium fluoride, providing diol (XL). Then, esterification of (XL) with acetic anhydride and DMAP furnishes diacetate (XLI).

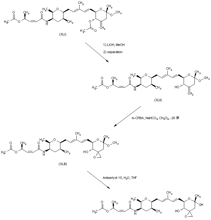
合成路线图解说明:

Treatment of diester (XLI) with LiOH produces a mixture of hydrolyzed products, from which the desired mono-acetylated compound (XLII) can be separated from its mono-acetyl regiosiomer and the fully hydrolyzed product. Epoxidation of the exocyclic olefin (XLII) with m-CPBA furnishes diastereoselectively epoxide (XLIII). Finally, deacetylation of the methyl ketal (XLIII) to the target hemiketal compound is achieved by treatment with an acidic cation-exchange resin in wet THF.

Drug Information Express,Drug R&D,Chemical Database,Patent Search.
Copyright © 2006-2026 Drug Future. All rights reserved.Contact Us