【药物名称】
化学结构式(Chemical Structure):
参考文献No.400658
标题:Synthesis of novel ellipticine analogues and their inhibition of moloney leukaemia reverse transcriptase
作者:Messmer, A.; Nacsa, J.; Tim醨i, G.; Haj髎, G.; Moln醨, J.; So髎, T.
来源:Bioorg Med Chem Lett 1996,6(21),2831-2836
合成路线图解说明:

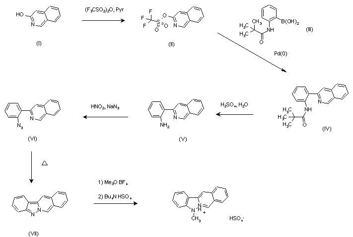
3-Hydroxyisoquinoline (I) was converted to triflate (II) on treatment with trifluoromethanesulfonic anhydride, and this was coupled with o-pivaloylaminophenylboronic acid (III) in the presence of Pd(0) to give (IV). Hydrolysis of pivaloyl amide was effected with 20% sulfuric acid, and the resulting amine (V) was transformed into azide (VI) through diazotation with nitrous acid followed by treatment with sodium azide. Ring closure of azide (VI) at 180 C afforded the tetracyclic compound (VII), and this was methylated with Meerwein's salt, and converted to hydrogensulfate salt on treatment with tetrabutylammonium hydrogensulfate.

Drug Information Express,Drug R&D,Chemical Database,Patent Search.
Copyright © 2006-2026 Drug Future. All rights reserved.Contact Us