【药物名称】TAK-024
化学结构式(Chemical Structure):
参考文献No.31494
标题:Piperazinones useful as inhibitors of platelet aggregation
作者:Fukushi, H.; Naka, T.; Terashita, Z.; Miyawaki, T. (Takeda Chemical Industries, Ltd.)
来源:EP 0822931; JP 1997316059; US 5935963; US 6020334; WO 9633982
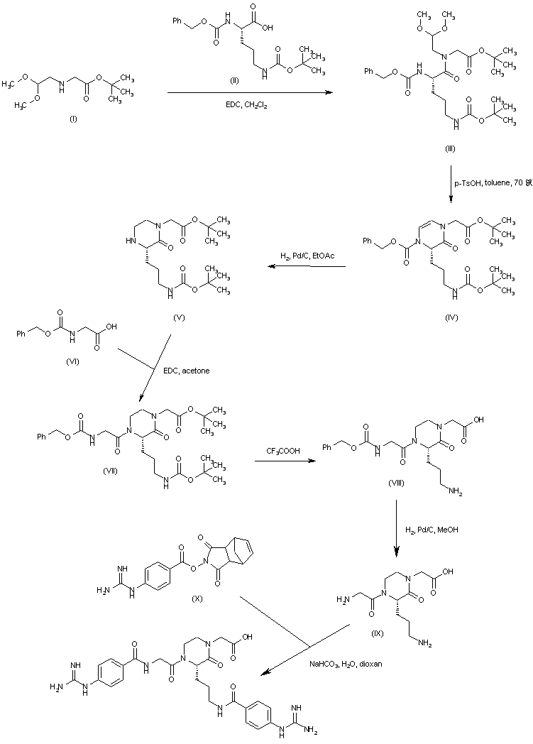
合成路线图解说明:

Condensation of the secondary amine (I) with N5-Boc-N2-Z-ornithine (II) using EDC provided the acetal amide (III), and subsequent acid-catalyzed intramolecular cyclization of (III) in hot toluene gave rise to the pyrazinone (IV). Catalytic hydrogenation of the double bond with concomitant hydrogenolysis of the benzyloxycarbonyl group of (IV) provided the 1,3-substituted-2-oxopiperazine (V). This was condensed with Z-glycine (VI) to give amide (VII). Then, acid cleavage of the tert-butyl ester and N-Boc protecting groups of (VII) provided (VIII). The N-benzyloxycarbonyl group of (VIII) was subsequently removed by hydrogenolysis, yielding diamine (IX). Finally, acylation of (IX) with the imido ester of 4-guanidinobenzoic acid (X) furnished the title bis(4-guanidinobenzamide).

参考文献No.624334
标题:Potent dibasic GPIIb/IIIA antagonists with reduces prolongation of bleeding time: Synthesis and pharmacological evaluation of 2-oxopiperazine
作者:Kitamura, S.; Fukushi, H.; Miyawaki, T.; Kawamura, M.; Konishi, N.; Terashita, Z.; Naka, T.
来源:J Med Chem 2001,44(15),2438
合成路线图解说明:

Condensation of the secondary amine (I) with N5-Boc-N2-Z-ornithine (II) using EDC provided the acetal amide (III), and subsequent acid-catalyzed intramolecular cyclization of (III) in hot toluene gave rise to the pyrazinone (IV). Catalytic hydrogenation of the double bond with concomitant hydrogenolysis of the benzyloxycarbonyl group of (IV) provided the 1,3-substituted-2-oxopiperazine (V). This was condensed with Z-glycine (VI) to give amide (VII). Then, acid cleavage of the tert-butyl ester and N-Boc protecting groups of (VII) provided (VIII). The N-benzyloxycarbonyl group of (VIII) was subsequently removed by hydrogenolysis, yielding diamine (IX). Finally, acylation of (IX) with the imido ester of 4-guanidinobenzoic acid (X) furnished the title bis(4-guanidinobenzamide).

Drug Information Express,Drug R&D,Chemical Database,Patent Search.
Copyright © 2006-2026 Drug Future. All rights reserved.Contact Us