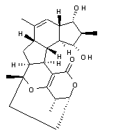
【药物名称】WS-9885B, FR-182877
化学结构式(Chemical Structure):
参考文献No.683405
标题:A cascade cycloaddition strategy leading to the total synthesis of (-)-FR182877
作者:Evans, D.A.; Starr, J.T.
来源:Angew Chem. Int Ed Engl 2002,41(10),1787
合成路线图解说明:

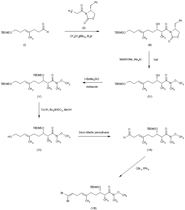
Preparation of fragment (VIII) is illustrated in Scheme 24509401a. Aldol condensation of aldehyde (I) with (R)-4-benzyl-3-propionyl-2-oxazolidinone (II) mediated by dibutylboron triflate gives the syn aldol adduct (III). This is converted to the Weinreb amide (IV) by treatment with N,O-dimethyl hydroxylamine in the presence of trimethylaluminium. After silylation of the secondary hydroxyl group of (IV), the resultant bis-silyl ether (V) is selectively desilylated at the primary hydroxyl group with p-toluenesulfonic acid and tetrabutylammonium bisulfate, to afford alcohol (VI). Dess-Martin oxidation of (VI) gives the aldehyde (VII), which is then subjected to Corey-Fuchs olefination with CBr4 and PPh3 to produce the gem-dibromo olefin (VIII)

合成路线图解说明:

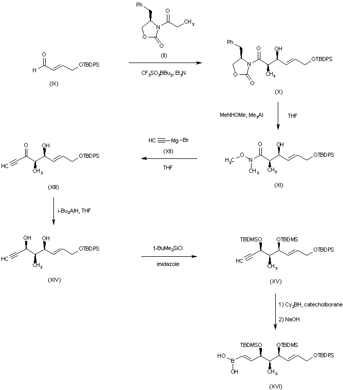
The boron enolate aldol condensation between aldehyde (IX) and the chiral oxazolidinone (II) affords adduct (X). After conversion to the Weinreb amide (XI), addition of magnesium acetylide (XII) leads to alkynone (XIII). Diastereoselective reduction of (XIII) using DIBAL in THF furnishes diol (XIV) as the major isomer. After protection of diol (XIV) as the bis-silyl ether (XV), hydroboration of its triple bond with catecholborane, followed by alkaline work-up gives rise to the boronic acid fragment (XVI).

合成路线图解说明:

Suzuki coupling of vinyl bromide (VIII) with boronic acid (XVI) gives bromotetraene (XVII). The methoxyamide function of (XVII) is then reduced to aldehyde (XVIII) employing DIBAL in THF. Two carbon homologation of aldehyde (XVIII) with ethyl diazoacetate leads to keto ester (XIX). Selective removal of the primary tert-butyl diphenylsilyl ether of (XIX) with tetrabutylammonium fluoride affords the allylic alcohol (XX), which is then converted into iodide (XXI) by means of I2 and PPh3.

合成路线图解说明:

Intramolecular cyclization of iodide (XXI) in the presence of Cs2CO3 provides macrocycle (XXII) as an epimeric mixture. Oxidation of (XXII) with Ph2Se2O3 gives rise to the conjugated ester (XXIII), which spontaneously undergoes a sequence of transannular cycloadditions culminating in the formation of the polycyclic compound (XXIV). Complete desilylation of (XXIV) to yield (XXV) is carried out by means of HF in acetonitrile. Methylation of the vinylic bromide of (XXV) by employing trimethylboroxine under Suzuki conditions leads to (XXVI). After hydrolysis of the ethyl ester of (XXVI) under anhydrous conditions, the resultant carboxylic acid (XXVII) is finally subjected to lactonization in the presence of Mukaiyama's reagent (XXVIII) to furnish the title compound.

Drug Information Express,Drug R&D,Chemical Database,Patent Search.
Copyright © 2006-2026 Drug Future. All rights reserved.Contact Us