【药物名称】KP-21
化学结构式(Chemical Structure):
参考文献No.469297
标题:Synthesis, in vitro anti-human immunodeficiency virus structure-activity relationships and biological stability of 5'-O-myristoyl analogue derivatives of 3'-azido-2',3'-dideoxythymidine (AZT) as potential prodrugs
作者:Parang, K.; Wiebe, L.I.; Knaus, E.E.
来源:Antivir Chem Chemother 1998,9(4),311-323
合成路线图解说明:

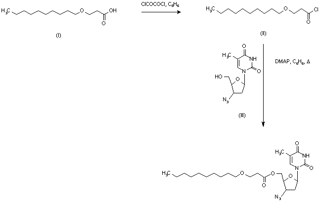
Acid chloride (II) prepared from 4-oxatetradecanoic acid (I) and oxalyl chloride in benzene was coupled with azidodideoxythymidine (AZT) (III) in the presence of 4-(dimethylamino)pyridine in refluxing benzene to provide the 5'-ester of AZT, which was purified by column chromatography.

Drug Information Express,Drug R&D,Chemical Database,Patent Search.
Copyright © 2006-2026 Drug Future. All rights reserved.Contact Us