【药物名称】CI-1021, Cam-4261, PD-154075
化学结构式(Chemical Structure):
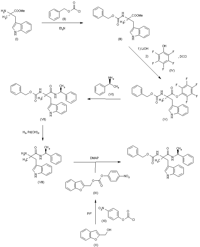
参考文献No.23244
标题:Tachykinin antagonists
作者:Horwell, D.C.; Howson, W.; Rees, D.C.; Roberts, E.; Pritchard, M.C. (Pfizer Inc.)
来源:EP 0655055; EP 1000930; US 5594022; WO 9404494
合成路线图解说明:

Condensation of alpha-methyl tryptophan methyl ester (I) with benzylchloroformate (II) in the presence of Et3N in THF yields urethane (III), which is hydrolyzed with LiOH in THF/MeOH/H2O and then activated with DCCI and pentafluorophenol (IV) to furnish ester (V). Treatment of (V) with alpha-methyl-benzylamine (VI) gives derivative (VII), which is then debenzylated by hydrogenation over Pd(OH)2 in EtOH to afford (VIII). Finally, amine (VIII) reacts in DMF with DMAP and carbonate (IX), which has been previously prepared from 2-benzofuranylmethanol (X), 4-nitrophenylchloroformate (XI) and pyridine in CH2Cl2.

参考文献No.400894
标题:Rational design of high affinity tachykinin NK1 receptor antagonists
作者:Boyle, S.; Guard, S.; Higginbottom, M.; Horwell, D.C.; Howson, W.; McKnight, A.T.; Martin, K.A.; Pritchard, M.C.; O'Toole, J.; Raphy, J.; et al.
来源:Bioorg Med Chem 1994,2(5),357
合成路线图解说明:

Condensation of alpha-methyl tryptophan methyl ester (I) with benzylchloroformate (II) in the presence of Et3N in THF yields urethane (III), which is hydrolyzed with LiOH in THF/MeOH/H2O and then activated with DCCI and pentafluorophenol (IV) to furnish ester (V). Treatment of (V) with alpha-methyl-benzylamine (VI) gives derivative (VII), which is then debenzylated by hydrogenation over Pd(OH)2 in EtOH to afford (VIII). Finally, amine (VIII) reacts in DMF with DMAP and carbonate (IX), which has been previously prepared from 2-benzofuranylmethanol (X), 4-nitrophenylchloroformate (XI) and pyridine in CH2Cl2.

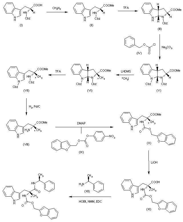
参考文献No.461407
标题:Tetrahydro-pyrrolo-[2,3-b]indole-1,2,8-tricarboxylic acid ester in the enantiospecific preparation of alpha-methyltryptophan: Application in the preparation of carbon-14 labeled PD 145942 and PD 154075
作者:Ekhato, I.V.; Huang, Y.
来源:J Label Compd Radiopharm 1997,39(12),1019
合成路线图解说明:

Treatment of N(alpha)-Cbz-D-tryptophan (I) with diazomethane (CH2N2) in Et2O/CH2Cl2 provides methyl ester derivative (II), which is then cyclized to afford pyrrolo-indole derivative (III) by long treatment with TFA. N-protection of (III) by reaction with benzyl chloroformate (IV) and Na2CO3 in dioxane yields derivative (V), which is then converted into labeled methylated derivative (VI) by first deprotonation with LHDMS followed by treatment with labeled methyl iodide (MeI) in THF. Ring opening of (VI) by means of TFA furnishes protected methyltryptophan (VII), whose Cbz groups are removed by hydrogenolysis over Pd/C in EtOH to yield derivative (VIII). Coupling of (VIII) with carbonate (IX) by means of DMAP in DMF affords derivative (X), which is then subjected to saponification with LiOH in MeOH to provide carboxylic acid derivative (XI). Finally, (XI) is coupled with methylbenzylamine (XII) by means of HOBt, EDC and N-methylmorpholine (NMM).

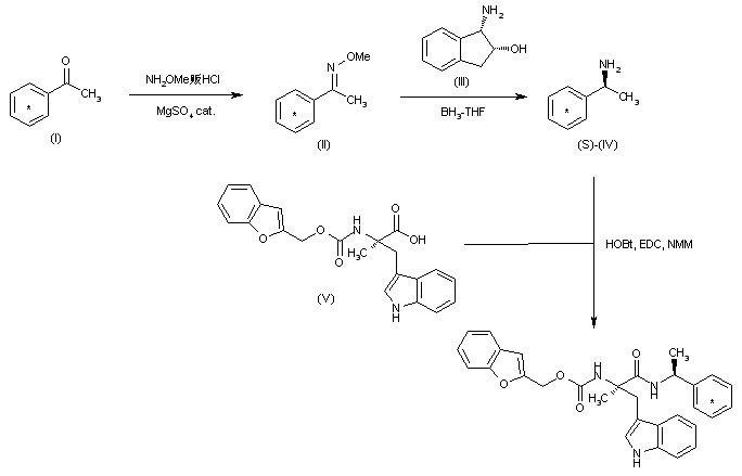
参考文献No.596126
标题:Synthesis of 14C-labeled S-(-)-1-phenylethylamine and its application to the synthesis of [14C] CI-1021, a potential antiemetic agent(1)
作者:Zhang, Y.S.
来源:J Label Compd Radiopharm 2000,43(11),1087
合成路线图解说明:

Treatment of [U-ring-14C] acetophenone (I) with O-methylhydroxylamine hydrochloride in pyridine/EtOH and catalytic MgSO4 yields labeled acetophenone oxime methyl ether (II), which is then subjected to Didier's enantioselective reduction with BH3稵HF and 1S,2R-1-amino-indan-2-ol (III) to provide labeled (S)-(IV). Finally, phenylethylamine (S)-(IV) is coupled to chiral acid (V) with 1-hydroxybenzotriazole hydrate (HOBt), 1-(3-dimethylaminopropyl)-3-ethylcarbodiimide hydrochloride (EDC) and N-methylmorpholine (NMM).

Drug Information Express,Drug R&D,Chemical Database,Patent Search.
Copyright © 2006-2026 Drug Future. All rights reserved.Contact Us