【药物名称】XP-280(as besilate), XV-459
化学结构式(Chemical Structure):
参考文献No.27346
标题:Novel isoxazoline and isoxazole fibrinogen receptor antagonists
作者:Wityak, J.; Xue, C.-B.; Sielecki-Dzurdz, T.M.; Olson, R.E.; Degrado, W.F.; Cain, G.A. (DuPont Pharmaceuticals Co.)
来源:EP 0730590; EP 0832076; JP 1997505590; JP 1999504651; US 5849736; WO 9514683; WO 9638426
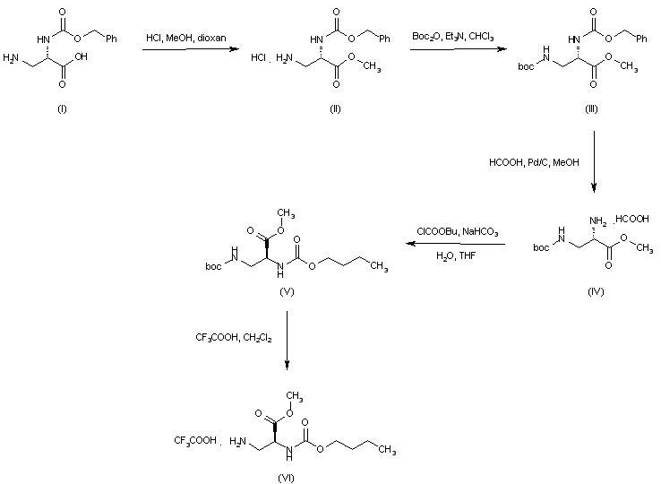
合成路线图解说明:

Esterification of N2-benzyloxycarbonyl-(S)-2,3-diaminopropionic acid (I) by means of methanolic HCl, followed by protection of the resulting aminoester (II) with Boc2O provided methyl N2-Cbz-N3-Boc-L-2,3-diaminopropionate (III). Removal of the benzyloxycarbonyl group of (III) was effected by catalytic transfer hydrogenolysis with formic acid and Pd/C. The deprotected aminoester (IV) was then condensed with n-butyl chloroformate to give carbamate (V). Subsequent cleavage of the Boc protecting group of (V) using trifluoroacetic acid furnished the target intermediate (VI).

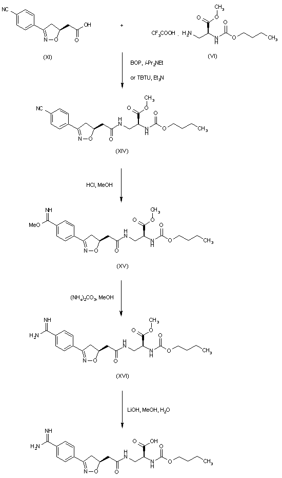
合成路线图解说明:

Intermediate (XI) has been obtained as follows: Aldehyde (VII) was converted to the corresponding oxime (VIII) by treatment with hydroxylamine hydrochloride in pyridine. Dipolar cycloaddition of 3-butenoic acid (IX) with the nitrile oxide formed in situ by chlorination of oxime (VIII) and further elimination of HCl produced the racemic isoxazoline (X). Isolation of the required (R)-enantiomer (XI) was performed by chiral preparative HPLC on a Chiralpak AD column or, alternatively, through fractional crystallization of the diastereomeric cinchonidine salts.

合成路线图解说明:

Coupling of (R)-acid (XI) with (S)-aminoester (VI) employing either BOP or TBTU gave rise to amide (XIV). Conversion of the nitrile group of (XIV) to imidate (XV), followed by reaction with ammonium carbonate in MeOH afforded amidine (XVI). Finally, the methyl ester group of (XVI) was hydrolyzed by means of LiOH in aqueous methanol.

合成路线图解说明:

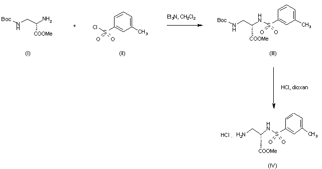
Preparation of intermediate (IV) is illustrated in Scheme 25654801a: Methyl N3-Boc-(S)-2,3-diaminopropionate (I) was condensed with m-toluenesulfonyl chloride (II) to provide sulfonamide (III). The Boc group was then deprotected with HCl in dioxan to give amine (IV).

合成路线图解说明:

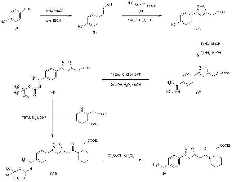
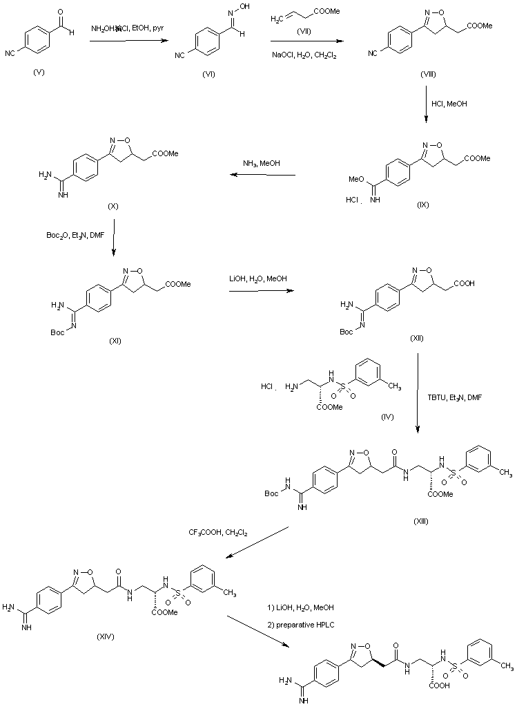
Oxime (VI) was prepared from 4-cyanobenzaldehyde (V) upon treatment with hydroxylamine-HCl and pyridine. The nitrile oxide generated from oxime (VI) and NaOCl underwent a dipolar cycloaddition to methyl butenoate (VII) to produce the racemic isoxazoline (VIII). After conversion of the nitrile group of (VIII) to imidate (IX), reaction with methanolic ammonia yielded amidine (X), which was protected with Boc2O to give (XI). Hydrolysis of the methyl ester of (XI) with LiOH provided carboxylic acid (XII), which was coupled to amine (IV) using TBTU to afford amide (XIII) as a diasteromeric mixture. After Boc group removal by acidic treatment yielding (XIV), its methyl ester group was hydrolyzed with LiOH to afford the corresponding acid. The diastereomeric mixture of carboxylic acids was finally separated by preparative chiral HPLC.

合成路线图解说明:

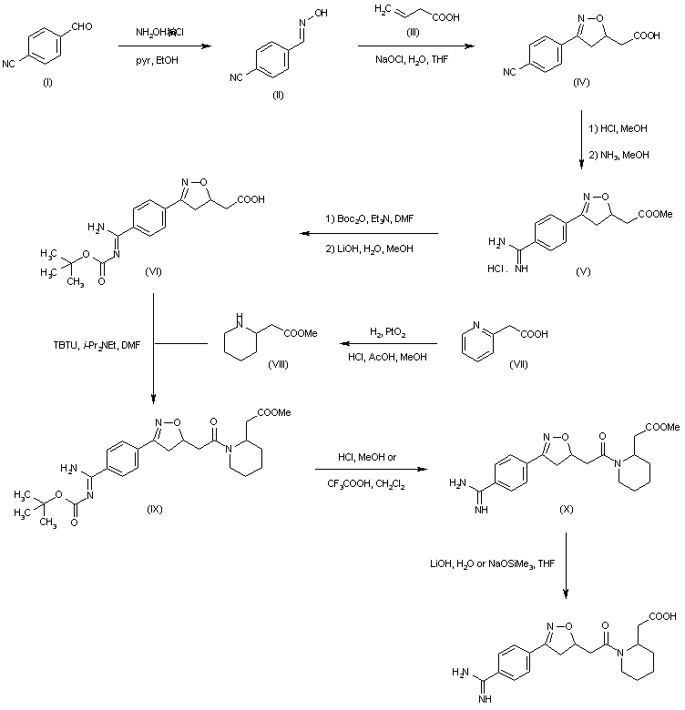
4-Formylbenzonitrile (I) was converted to oxime (II) by treatment with hydroxylamine hydrochloride in pyridine-ethanol. Chlorination of the oxime with NaOCl, followed by dehydrohalogenation of the intermediate imidoyl chloride and dipolar cycloaddition to vinylacetic acid (III) produced the racemic isoxazoline (IV). The cyano group of (IV) was then converted to amidine (V) by formation of the corresponding imidate and subsequent treatment with methanolic ammonia. After protection of the amidine function of (V) as the Boc-derivative, ester hydrolysis employing LiOH yielded carboxylic acid (VI). Methyl 2-piperidine acetate (VIII) was obtained by catalytic hydrogenation of 2-pyridylacetic acid (VII) in the presence of MeOH and HCl. Coupling of acid (VI) with the racemic methyl 2-piperidineacetate (VIII) in the presence of O-(1H-benzotriazol-1-yl)-N,N,N',N'-tetramethyluronium tetrafluoborate (TBTU) furnished a diastereomeric mixture of amides (IX). Cleavage of the Boc group of (IX) by means of either trifluoroacetic acid or methanolic HCl provided amidine (X). Finally, basic hydolysis of the methyl ester of (X) gave rise to the title compound.

合成路线图解说明:

4-Formylbenzonitrile (I) was converted to oxime (II) by treatment with hydroxylamine hydrochloride in pyridine-ethanol. Chlorination of the oxime with NaOCl, followed by dehydrohalogenation of the intermediate imidoyl chloride and dipolar cycloaddition to vinylacetic acid (III) produced the racemic isoxazoline (IV). The cyano group of (IV) was then converted to amidine (V) by formation of the corresponding imidate and subsequent treatment with methanolic ammonia. After protection of the amidine function of (V) as the Boc-derivative, ester hydrolysis employing LiOH yielded carboxylic acid (VI) (1). Coupling of acid (VI) with the racemic ethyl 2-piperidineacetate (VII) in the presence of O-(1H-benzotriazol-1-yl)-N,N,N',N'-tetramethyluronium tetrafluoborate (TBTU) furnished a diastereomeric mixture of amides (VIII). The Boc group of (VIII) was finally cleaved by means of trifluoroacetic acid.

参考文献No.395532
标题:Discovery of potent isoxazoline glycoprotein IIb/IIIa receptor antagonists
作者:Wityak, J.; Sielecki, T.M.; Pinto, D.J.; Emmett, G.C.; Sze, J.Y.; Liu, J.; Tobin, A.E.; Wang, S.; Jiang, B.; Ma, P.; Mousa, S.A.; Wexler, R.R.; Olson, R.E.
来源:J Med Chem 1997,40(1),50
合成路线图解说明:

Intermediate (XI) has been obtained as follows: Aldehyde (VII) was converted to the corresponding oxime (VIII) by treatment with hydroxylamine hydrochloride in pyridine. Dipolar cycloaddition of 3-butenoic acid (IX) with the nitrile oxide formed in situ by chlorination of oxime (VIII) and further elimination of HCl produced the racemic isoxazoline (X). Isolation of the required (R)-enantiomer (XI) was performed by chiral preparative HPLC on a Chiralpak AD column or, alternatively, through fractional crystallization of the diastereomeric cinchonidine salts.

参考文献No.429819
标题:Discovery of an orally active series of isoxazoline glycoprotein IIb/IIIa antagonists
作者:Xue, C.-B.; Wityak, J.; Sielecki, T.M.; Pinto, D.J.; Batt, D.G.; Cain, G.A.; Sworin, M.; Rockwell, A.L.; Roderick, J.J.; Wang, S.; Orwat, M.J.; Frietze, W.E.; Bostrom, L.L.; Liu, J.; Higley, C.A.; Rankin, F.W.; Tobin, A.E.; Emmett, G.C.; et al.
来源:J Med Chem 1997,40(13),2064-84
合成路线图解说明:

Intermediate (XI) has been obtained as follows: Aldehyde (VII) was converted to the corresponding oxime (VIII) by treatment with hydroxylamine hydrochloride in pyridine. Dipolar cycloaddition of 3-butenoic acid (IX) with the nitrile oxide formed in situ by chlorination of oxime (VIII) and further elimination of HCl produced the racemic isoxazoline (X). Isolation of the required (R)-enantiomer (XI) was performed by chiral preparative HPLC on a Chiralpak AD column or, alternatively, through fractional crystallization of the diastereomeric cinchonidine salts.

合成路线图解说明:

In a further procedure, lipase-mediated hydrolysis of the racemic n-butyl ester (XII) provided the required (R)-acid (XI) along with unreacted (S)-ester (XIII), which was recycled through racemization using potassium tert-butoxide.

合成路线图解说明:

Coupling of (R)-acid (XI) with (S)-aminoester (VI) employing either BOP or TBTU gave rise to amide (XIV). Conversion of the nitrile group of (XIV) to imidate (XV), followed by reaction with ammonium carbonate in MeOH afforded amidine (XVI). Finally, the methyl ester group of (XVI) was hydrolyzed by means of LiOH in aqueous methanol.

Drug Information Express,Drug R&D,Chemical Database,Patent Search.
Copyright © 2006-2026 Drug Future. All rights reserved.Contact Us