【药物名称】KF-24345
化学结构式(Chemical Structure):
参考文献No.29607
标题:Quinazoline deriv.
作者:Fujiwara, S.; Okamura, Y.; Takai, H.; Nonaka, H.; Moriyama, T. (Kyowa Hakko Kogyo Co., Ltd.)
来源:EP 0726267; JP 1997165385; US 5948784; WO 9606841
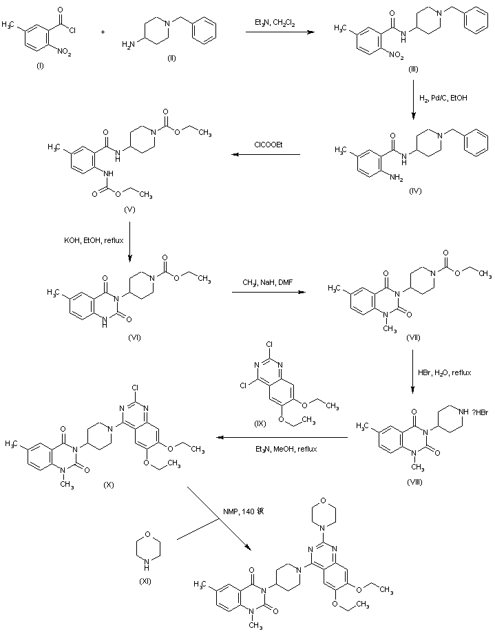
合成路线图解说明:

4-Amino-1-benzylpiperidine (II) was acylated with 5-methyl-2-nitrobenzoyl chloride (I) to afford the ortho-nitrobenzamide (III), which was reduced to the amino derivative (IV) by catalytic hydrogenation in the presence of Pd/C. Treatment of (IV) with ethyl chloroformate produced the bis-carbamate (V) with concomitant cleavage of the N-benzyl group. This was cyclized to the dioxoquinazoline (VI) upon treatment with KOH in refluxing EtOH. After N-methylation employing iodomethane and NaH in DMF, hydrolysis of the carbamate group with concentrated HBr yielded the piperidinylquinazoline (VIII). This was then condensed with 2,4-dichloro-6,7-diethoxyquinazoline (IX) to furnish adduct (X). Finally, displacement of the remaining chlorine of (X) with morpholine (XI) in hot NMP gave rise to the title compound.

参考文献No.594198
标题:Synthesis and evaluation of adenosine transporter inhibitors
作者:Kase, H.; Fujiwara, S.; Okamura, Y.; Karasawa, A.; Nonaka, H.; Yao, K.; Takai, H.
来源:16th Int Symp Med Chem (Sept 18 2000, Bologna) 2000,Abst PC-19
合成路线图解说明:

4-Amino-1-benzylpiperidine (II) was acylated with 5-methyl-2-nitrobenzoyl chloride (I) to afford the ortho-nitrobenzamide (III), which was reduced to the amino derivative (IV) by catalytic hydrogenation in the presence of Pd/C. Treatment of (IV) with ethyl chloroformate produced the bis-carbamate (V) with concomitant cleavage of the N-benzyl group. This was cyclized to the dioxoquinazoline (VI) upon treatment with KOH in refluxing EtOH. After N-methylation employing iodomethane and NaH in DMF, hydrolysis of the carbamate group with concentrated HBr yielded the piperidinylquinazoline (VIII). This was then condensed with 2,4-dichloro-6,7-diethoxyquinazoline (IX) to furnish adduct (X). Finally, displacement of the remaining chlorine of (X) with morpholine (XI) in hot NMP gave rise to the title compound.

Drug Information Express,Drug R&D,Chemical Database,Patent Search.
Copyright © 2006-2026 Drug Future. All rights reserved.Contact Us