【药物名称】R-102557
化学结构式(Chemical Structure):
参考文献No.31295
标题:Triazole antifungal agent
作者:Oida, S.; Tanaka, T.; Tajima, Y.; Konosu, T.; Somada, A.; Miyaoka, T.; Yasuda, H. (Sankyo Co., Ltd.)
来源:EP 0841327; JP 1996333350; US 5977152; WO 9631491
合成路线图解说明:

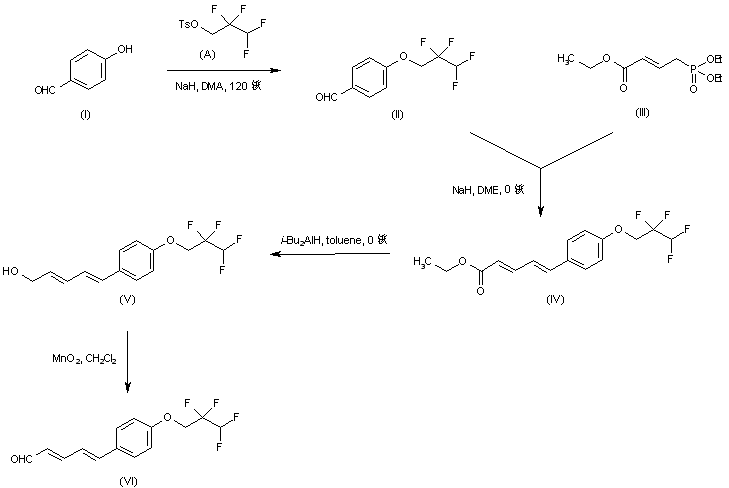
4-Hydroxybenzaldehyde (I) was alkylated with 2,2,3,3-tetrafluoropropyl tosylate (A) to give ether (II). Subsequent Horner-Emmons condensation of (II) with triethyl phosphonocrotonate (III) provided dienoate (IV), that was further reduced to alcohol (V) by means of DIBAL. Oxidation of (V) with activated MnO2 then gave aldehyde (VI).

合成路线图解说明:

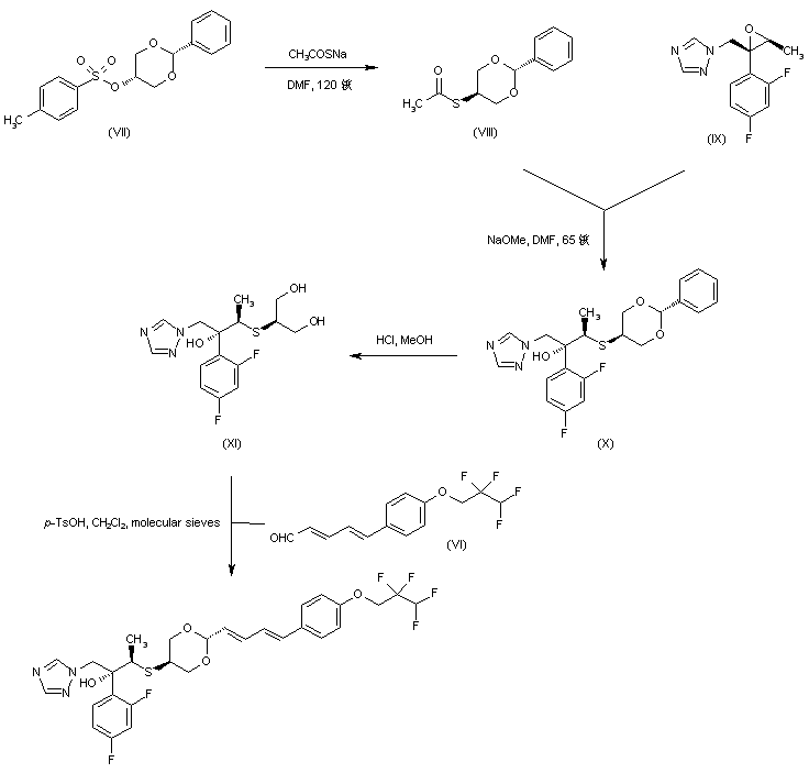
Displacement of tosylate (VII) with sodium thioacetate afforded thioester (VIII) (1). Hydrolysis of the thioester (VIII) in the presence of NaOMe, followed by condensation of the intermediate thiol with the chiral epoxide (IX) furnished the mercapto alcohol (X). Hydrolysis of the cyclic acetal of (X) in methanolic HCl gave triol (XI). This was finally condensed with aldehyde (VI) in the presence of p-TsOH and molecular sieves to yield the title compound.

合成路线图解说明:

Addition of the thiol liberated from thioester (VII) in the presence of NaOMe to the chiral epoxide (VIII) afforded thioether (IX). Acid hydrolysis of the acetal function of (IX) yielded diol (X). Then, acetalization of diol (IX) with aldehyde (XI) furnished the title compound.

参考文献No.558217
标题:Synthesis and antifungal activity of R-102557, a novel dioxane-triazole compound
作者:Oida, S.; et al.
来源:19th Symp Med Chem (Nov 17 1999, Tokyo) 1999,Abst 2P-15
合成路线图解说明:

Displacement of tosylate (VII) with sodium thioacetate afforded thioester (VIII) (1). Hydrolysis of the thioester (VIII) in the presence of NaOMe, followed by condensation of the intermediate thiol with the chiral epoxide (IX) furnished the mercapto alcohol (X). Hydrolysis of the cyclic acetal of (X) in methanolic HCl gave triol (XI). This was finally condensed with aldehyde (VI) in the presence of p-TsOH and molecular sieves to yield the title compound.

参考文献No.579419
标题:Synthesis and antifungal activities of R-102557 and related dioxane-triazole derivatives
作者:Oida, S.; Tajima, Y.; Konosu, T.; nakamura, Y.; Somada, A.; Tanaka, T.; Habuki, S.; Harasaki, T.; Kamai, Y.; Fukuoka, T.; Ohya, S.; Yasuda, H.
来源:Chem Pharm Bull 2000,48(5),694
合成路线图解说明:

4-Hydroxybenzaldehyde (I) was alkylated with 2,2,3,3-tetrafluoropropyl tosylate (A) to give ether (II). Subsequent Horner-Emmons condensation of (II) with triethyl phosphonocrotonate (III) provided dienoate (IV), that was further reduced to alcohol (V) by means of DIBAL. Oxidation of (V) with activated MnO2 then gave aldehyde (VI).

合成路线图解说明:

Displacement of tosylate (VII) with sodium thioacetate afforded thioester (VIII) (1). Hydrolysis of the thioester (VIII) in the presence of NaOMe, followed by condensation of the intermediate thiol with the chiral epoxide (IX) furnished the mercapto alcohol (X). Hydrolysis of the cyclic acetal of (X) in methanolic HCl gave triol (XI). This was finally condensed with aldehyde (VI) in the presence of p-TsOH and molecular sieves to yield the title compound.

合成路线图解说明:

Addition of the thiol liberated from thioester (VII) in the presence of NaOMe to the chiral epoxide (VIII) afforded thioether (IX). Acid hydrolysis of the acetal function of (IX) yielded diol (X). Then, acetalization of diol (IX) with aldehyde (XI) furnished the title compound.

Drug Information Express,Drug R&D,Chemical Database,Patent Search.
Copyright © 2006-2026 Drug Future. All rights reserved.Contact Us