【药物名称】Sparoxomycin A2
化学结构式(Chemical Structure):
参考文献No.480196
标题:Synthesis and morphological reversion activity on src(ts)NRK cells of pyrimidinylpropanamide antibiotics, sparsomycin, sparoxomycin A1, A2, and their analogues
作者:Nakajima, N.; Enomoto, T.; Matsuura, N.; Ubukata, M.
来源:Bioorg Med Chem Lett 1998,8(23),3331
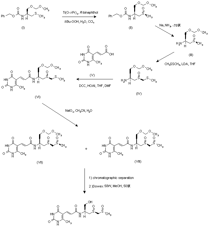
合成路线图解说明:

Diastereoselective oxidation of sulfide (I) with tert-butyl hydroperoxide in the presence of titanium isopropoxide and (R)-binaphthol at 4 C yielded the (S)-sulfoxide (II) with an 85% diastereomeric excess. Recrystallization from dichloromethane-hexane provided optically pure (II), from which the N-benzyloxycarbonyl group was removed by means of Na/NH3 to give amine (III). Sulfenylation of (III) was then achieved by treatment with dimethyl disulfide in the presence of LDA to afford the thioacetal mono-S-oxide (IV) together with some doubly sulfenylated product. Subsequent coupling with b-(6-methyluracil)-acrylic acid (V) using dicyclohexylcarbodiimide (DCC) and 1-hydroxybenzo-7-azatriazole (HOAt) provided amide (VI). Finally, removal of the protecting methoxymethyl group of (VI) was effected with the acidic ion-exchange resin Dowex 50W in MeOH at 50 C to provide the title compound.

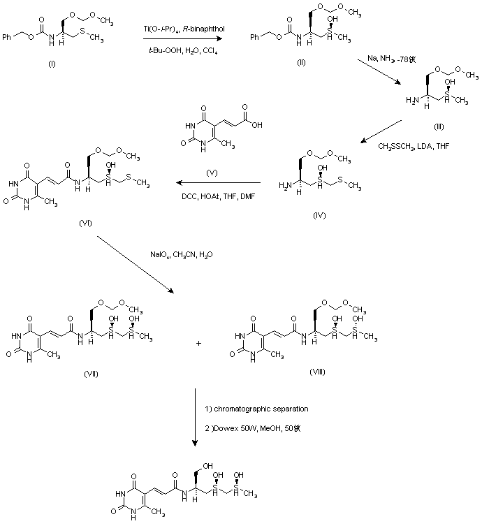
合成路线图解说明:

Diastereoselective oxidation of sulfide (I) with tert-butyl hydroperoxide in the presence of titanium isopropoxide and (R)-binaphthol at 4 C yielded the (S)-sulfoxide (II) with an 85% diastereomeric excess. Recrystallization from dichloromethane-hexane provided optically pure (II), from which the N-benzyloxycarbonyl group was removed by means of Na/NH3 to give amine (III). Sulfenylation was then achieved by treatment with dimethyl disulfide in the presence of LDA to afford the thioacetal mono-S-oxide (IV) together with some doubly sulfenylated product. Subsequent coupling with b-(6-methyluracil)-acrylic acid (V) using dicyclohexylcarbodiimide (DCC) and 1-hydroxybenzo-7-azatriazole (HOAt) provided amide (VI). Further oxidation of (VI) with NaIO4 yielded an equimolecular mixture of dioxothioacetals (VII) and (VIII), from which the desired diastereoisomer (VII) was isolated by ODS column chromatography, followed by reverse-phase HPLC. Finally, removal of the protecting methoxymethyl group was effected with the acidic ion-exchange resin Dowex 50W in MeOH at 50 C to provide the title compound.

合成路线图解说明:

Diastereoselective oxidation of sulfide (I) with tert-butyl hydroperoxide in the presence of titanium isopropoxide and (R)-binaphthol at 4 C yielded the (S)-sulfoxide (II) with an 85% diastereomeric excess. Recrystallization from dichloromethane-hexane provided optically pure (II), from which the N-benzyloxycarbonyl group was removed by means of Na/NH3 to give amine (III). Sulfenylation was then achieved by treatment with dimethyl disulfide in the presence of LDA to afford the thioacetal mono-S-oxide (IV) together with some doubly sulfenylated product. Subsequent coupling with b-(6-methyluracil)-acrylic acid (V) using dicyclohexylcarbodiimide (DCC) and 1-hydroxybenzo-7-azatriazole (HOAt) provided amide (VI). Further oxidation of (VI) with NaIO4 yielded an equimolecular mixture of dioxothioacetals (VII) and (VIII), from which the desired diastereoisomer (VIII) was isolated by ODS column chromatography, followed by reverse-phase HPLC. Finally, removal of the protecting methoxymethyl group was effected with the acidic ion-exchange resin Dowex 50W in MeOH at 50 C to provide the title compound.

Drug Information Express,Drug R&D,Chemical Database,Patent Search.
Copyright © 2006-2026 Drug Future. All rights reserved.Contact Us