【药物名称】
化学结构式(Chemical Structure):
参考文献No.29829
标题:Thio-free inhibitors of farnesyl-protein transferase
作者:Anthony, N.J.; Desolms, S.J.; Gomez, R.P.; Graham, S.L.; Hutchinson, J.H.; Stokker, G.E. (Merck & Co., Inc.)
来源:JP 1998508005; US 5652257; WO 9610034
合成路线图解说明:

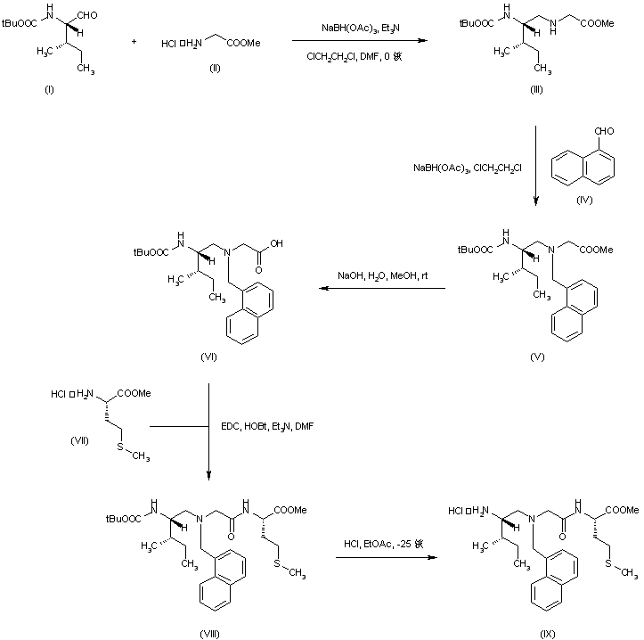
The reductive condensation of N-Boc-L-isoleucinal (I) with glycine methyl ester (II) using sodium triacetoxyborohydride afforded secondary amine (III), which was further reductively condensed with 1-naphthaldehyde (IV), yielding tertiary amine (V). After basic hydrolysis of the methyl ester group of (V), the resulting carboxylic acid (VI) was coupled with L-methionine methyl ester (VII) by means of EDC and HOBt to give peptide (VIII). Subsequent deprotection of the Boc group of (VII) with HCl in cold EtOAc furnished the required intermediate (IX).

合成路线图解说明:

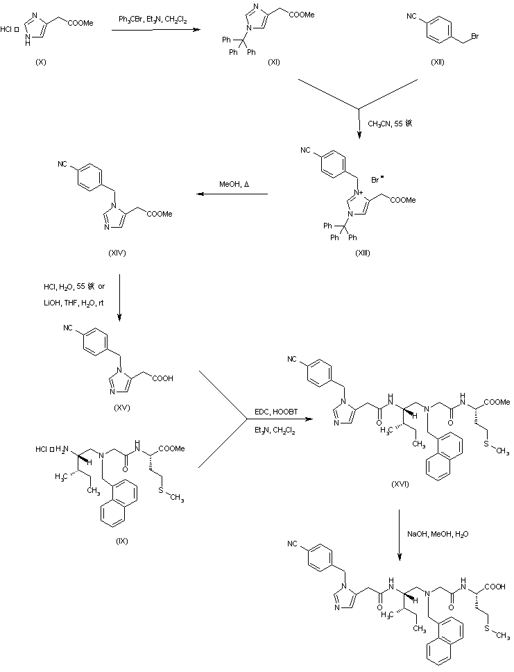
Protection of 4-imidazoleacetic acid methyl ester (X) with triphenylmethyl bromide provided the N1-trityl derivative (XI). Subsequent alkylation of (XI) with 4-cyanobenzyl bromide (XII) resulted in the formation of the imidazolium salt (XIII). Deprotection of the trityl group of (XIII) was achieved upon refluxingin MeOH to give (XIV). Hydrolysis of the methyl ester group of (XIV) under either acidic or basic conditions yielded imidazoleacetic acid (XV), which was subsequently coupled with the intermediate amine (IX) using EDC and 3-hydroxy-1,2,3-benzotriazin-4-one (HOOBT) to provide amide (XVI). Finally, saponification of the methyl ester group of (XVI) furnished the title compound.

合成路线图解说明:

The reductive condensation of N-Boc-L-isoleucinal (I) with glycine methyl ester (II) using sodium triacetoxyborohydride afforded secondary amine (III), which was further reductively condensed with 1-naphthaldehyde (IV), yielding tertiary amine (V). After basic hydrolysis of the methyl ester group of (V), the resulting carboxylic acid (VI) was coupled with L-methionine methyl ester (VII) by means of EDC and HOBt to give peptide (VIII). Subsequent deprotection of the Boc group of (VIII) with HCl in cold EtOAc furnished the required intermediate (IX).

合成路线图解说明:

Protection of 4-imidazoleacetic acid methyl ester (X) with triphenylmethyl bromide provided the N1-trityl derivative (XI). Subsequent alkylation with 4-cyanobenzyl bromide (XII) resulted in the formation of the imidazolium salt (XIII). Deprotection of the trityl group of (XIII) was achieved upon refluxingin MeOH to give (XIV). Hydrolysis of the methyl ester group of (XIV) under either acidic or basic conditions yielded imidazoleacetic acid (XV). This was finally coupled with the intermediate amine (IX) using EDC and 3-hydroxy-1,2,3-benzotriazin-4-one (HOOBT) to provide the title compound.

参考文献No.547224
标题:Design and in vivo analysis of potent non-thiol inhibitors of farnesyl protein transferase
作者:Anthony, N.J.; Gomez, R.P.; Schaber, M.D.; Mosser, S.D.; Hamilton, K.A.; O'Neil, T.J.; Koblan, K.S.; Graham, S.L.; Hartman, G.D.; Shah, D.; Rands, E.; Kohl, N.E.; Gibbs, J.B.; Oliff, A.I.
来源:J Med Chem 1999,42(17),3356
合成路线图解说明:

Protection of 4-imidazoleacetic acid methyl ester (X) with triphenylmethyl bromide provided the N1-trityl derivative (XI). Subsequent alkylation of (XI) with 4-cyanobenzyl bromide (XII) resulted in the formation of the imidazolium salt (XIII). Deprotection of the trityl group of (XIII) was achieved upon refluxingin MeOH to give (XIV). Hydrolysis of the methyl ester group of (XIV) under either acidic or basic conditions yielded imidazoleacetic acid (XV), which was subsequently coupled with the intermediate amine (IX) using EDC and 3-hydroxy-1,2,3-benzotriazin-4-one (HOOBT) to provide amide (XVI). Finally, saponification of the methyl ester group of (XVI) furnished the title compound.

合成路线图解说明:

Protection of 4-imidazoleacetic acid methyl ester (X) with triphenylmethyl bromide provided the N1-trityl derivative (XI). Subsequent alkylation with 4-cyanobenzyl bromide (XII) resulted in the formation of the imidazolium salt (XIII). Deprotection of the trityl group of (XIII) was achieved upon refluxingin MeOH to give (XIV). Hydrolysis of the methyl ester group of (XIV) under either acidic or basic conditions yielded imidazoleacetic acid (XV). This was finally coupled with the intermediate amine (IX) using EDC and 3-hydroxy-1,2,3-benzotriazin-4-one (HOOBT) to provide the title compound.

Drug Information Express,Drug R&D,Chemical Database,Patent Search.
Copyright © 2006-2026 Drug Future. All rights reserved.Contact Us