【药物名称】L-161240
化学结构式(Chemical Structure):
参考文献No.488725
标题:Carbohydroxamido-oxazolidines: Antibacterial agents that target lipid A biosynthesis
作者:Chen, M.H.; Steiner, M.G.; de Laszlo, S.E.; Patchett, A.A.; Anderson, M.S.; Hyland, S.A.; Onishi, H.R.; Silver, L.L.; Raetz, C.R.
来源:Bioorg Med Chem Lett 1999,9(3),313
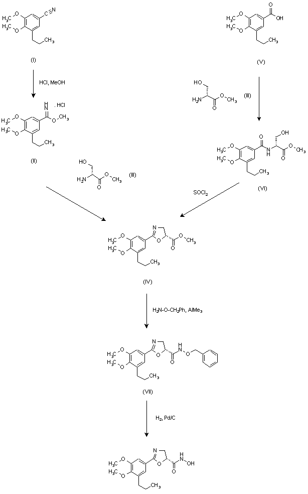
合成路线图解说明:

This compound can be prepared by two related ways: 1) Nitrile (I) was converted to iminoester (II) with methanolic HCl, which was then condensed with (R)-serine methyl ester (III) to give oxazoline (IV). Further reaction of (IV) with O-benzyl hydroxylamine in the presence of AlMe3 provided hydroxamate (VII). Finally, the O-benzyl protecting group was removed by hydrogenolysis over Pd/C. 2) Alternatively, coupling of the benzoic acid (V) with (R)-serine methyl ester (III) produced amide (VI), which was cyclized to the alredy described oxazolidine (IV) with SOCl2.

Drug Information Express,Drug R&D,Chemical Database,Patent Search.
Copyright © 2006-2026 Drug Future. All rights reserved.Contact Us