【药物名称】
化学结构式(Chemical Structure):
参考文献No.25592
标题:Sulfonamides and derivs. thereof that modulate the activity of endothelin
作者:Chan, M.F.; Raju, B.G.; Kois, A.; Verner, E.J.; Wu, C.; Castillo, R.S.; Yalamoori, V.; Balaji, V.N.; Ramnarayan, K. (ImmunoPharmaceutics, Inc.)
来源:EP 0699191; EP 0870764; GB 2285625; JP 1996510744; US 5464853; WO 9427979
合成路线图解说明:

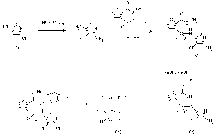
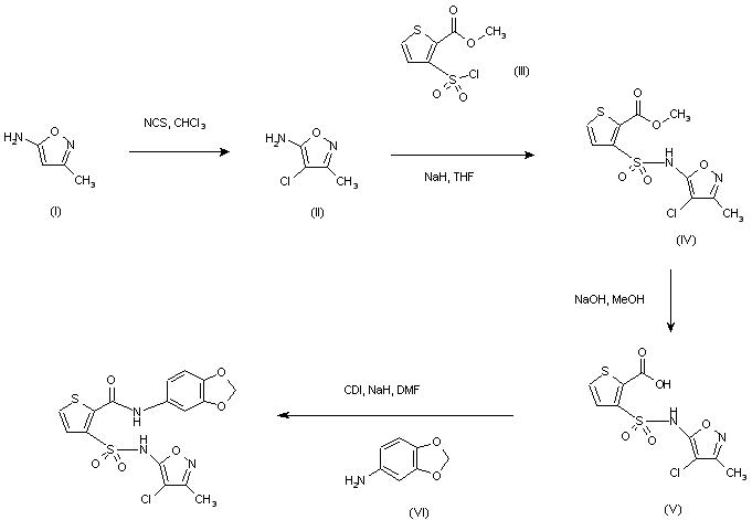
5-Amino-3-methylisoxazole (I) was chlorinated with N-chlorosuccinimide (NCS) in chloroform to afford 5-amino-4-chloro-3-methylisoxazole (II). Condensation of this isoxazole (II) with 3-(chlorosulfonyl)thiophene-2-carboxylic acid methyl ester (III) was effected in the presence of sodium hydride in THF to give sulfonamide (IV), which was then hydrolyzed to the acid (V) on treatment with methanolic sodium hydroxide. This acid (V) was activated by reaction with carbonyldiimidazole (CDI) in DMF, and the resulting solution of acylimidazole was then cannulated into a cooled mixture of 2-amino-4,5-(methylenedioxy)benzonitrile (VI) and sodium hydride in DMF to yield the title amide.

参考文献No.31296
标题:Thienyl-, furyl-, pyrrolyl- and biphenylsulfonamides and derivs. thereof that modulate the activity of endothelin
作者:Chan, M.F.; Raju, B.G.; Kois, A.; Verner, E.J.; Wu, C.; Castillo, R.S.; Yalamoori, V.; Balaji, V.N. (Texas Biotechnology Corp.)
来源:EP 0819125; JP 1999507015; WO 9631492
合成路线图解说明:

The condensation of 3-(chlorosulfonyl)thiophene-2-carboxylic acid methyl ester (I) with 4-chloro-3-methylisoxazol-5-amine by means of NaH in THF gives the corresponding sulfonamide (III), which is hydrolyzed with NaOH in methanol to yield the expected carboxylic acid (IV). The reaction of (IV) with N,O-dimethylhydroxylamine and carbonyldiimidazole (CDI) in THF affords the corresponding amide (V), which is finally condensed with the Grignard reagent 6-methyl-1,3-benzodioxol-5-ylmethyl magnesium chloride (VI) in THF. The intermediate Grignard reagent (VI) is obtained by chloromethylation of 5-methyl-1,3-benzodioxole (VII) with formaldehyde and HCl, giving 5-(chloromethyl)-6-methyl-1,3-benzodioxole (VIII), followed by reaction of this compound with Mg in THF.

合成路线图解说明:

5-Amino-3-methylisoxazole (I) was chlorinated with N-chlorosuccinimide (NCS) in chloroform to afford 5-amino-4-chloro-3-methylisoxazole (II) (1). Condensation of this isoxazole (II) with 3-(chlorosulfonyl)thiophene-2-carboxylic acid methyl ester (III) was effected in the presence of sodium hydride in THF to give sulfonamide (IV), which was then hydrolyzed to the acid (V) on treatment with methanolic sodium hydroxide. This acid (V) was activated by reaction with carbonyldiimidazole (CDI) in DMF, and the resulting solution of acylimidazole was then cannulated into a cooled mixture of 2-amino-4,5-(methylenedioxy)benzonitrile (VI) and sodium hydride in DMF to yield the title amide.

合成路线图解说明:

5-Amino-3-methylisoxazole (I) was chlorinated with N-chlorosuccinimide (NCS) in chloroform to afford 5-amino-4-chloro-3-methylisoxazole (II). Condensation of this isoxazole (II) with 3-(chlorosulfonyl)thiophene-2-carboxylic acid methyl ester (III) was effected in the presence of sodium hydride in THF to give sulfonamide (IV), which was then hydrolyzed to the acid (V) on treatment with methanolic sodium hydroxide. This acid (V) was activated by reaction with carbonyldiimidazole (CDI) in DMF, and the resulting solution of acylimidazole was then cannulated into a cooled mixture of 2-amino-4,5-(methylenedioxy)benzonitrile (VI) and sodium hydride in DMF to yield the title amide.

Drug Information Express,Drug R&D,Chemical Database,Patent Search.
Copyright © 2006-2026 Drug Future. All rights reserved.Contact Us