【药物名称】FR-59960, FK-960
化学结构式(Chemical Structure):
参考文献No.14408
标题:New aminopiperazine derivs
作者:Oku, T.; Todo, E.; Yokota, Y.; Kayakiri, H.; Hashimoto, M. (Fujisawa Pharmaceutical Co., Ltd.)
来源:EP 0436734; JP 1991510050; US 5250528; WO 9101979
合成路线图解说明:

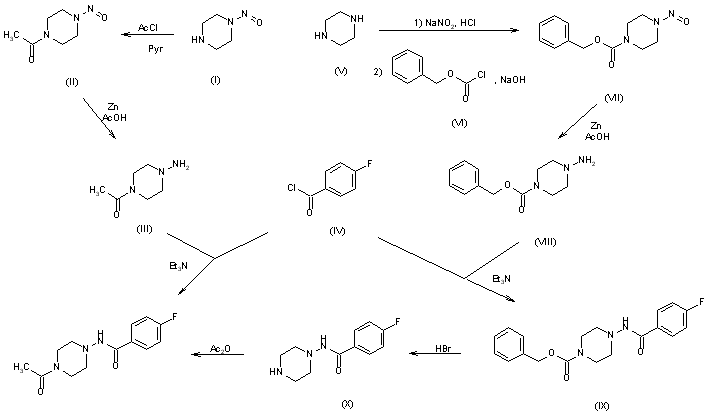
This compound can be obtained by two different ways: 1) The acetylation of 1-nitrosopiperazine (I) with acetyl chloride and pyridine in dioxane gives 1-acetyl-4-nitrosopiperazine (II), which is reduced with Zn and acetic acid/water to 1-acetyl-4-aminopiperazine (III). Finally, this compound is acylated with 4-fluorobenzoyl chloride (IV) by means of triethylamine in dichloromethane. 2) The nitrosation of piperazine (V) with NaNO2/HCl in water, followed by condensation with benzyloxycarbonyl chloride (VI) by means of NaOH yields 1-(benzyloxycarbonyl)-4-nitrosopiperazine (VII), which is reduced with Zn and acetic acid/water as before to the corresponding amino derivative (VIII). The acylation of (VIII) with 4-fluorobenzoyl chloride and triethylamine in dichloromethane affords N-[4-(benzyloxycarbonyl)piperazin-1-yl]-4-fluorobenzamide (IX), which is deprotected with HBr in acetic acid to yield N-(1-piperazinyl)-4-fluorobenzamide (X). Finally, this compound is acetylated with acetic anhydride/NaOH in water.

参考文献No.32535
标题:Novel intermediate for synthetic use and process for producing aminopiperazine derivs
作者:Oku, T.; Kayakiri, H.; Tanaka, H. (Fujisawa Pharmaceutical Co., Ltd.)
来源:WO 9500502
合成路线图解说明:

This compound can be obtained by two different ways: 1) The acetylation of 1-nitrosopiperazine (I) with acetyl chloride and pyridine in dioxane gives 1-acetyl-4-nitrosopiperazine (II), which is reduced with Zn and acetic acid/water to 1-acetyl-4-aminopiperazine (III). Finally, this compound is acylated with 4-fluorobenzoyl chloride (IV) by means of triethylamine in dichloromethane. 2) The nitrosation of piperazine (V) with NaNO2/HCl in water, followed by condensation with benzyloxycarbonyl chloride (VI) by means of NaOH yields 1-(benzyloxycarbonyl)-4-nitrosopiperazine (VII), which is reduced with Zn and acetic acid/water as before to the corresponding amino derivative (VIII). The acylation of (VIII) with 4-fluorobenzoyl chloride and triethylamine in dichloromethane affords N-[4-(benzyloxycarbonyl)piperazin-1-yl]-4-fluorobenzamide (IX), which is deprotected with HBr in acetic acid to yield N-(1-piperazinyl)-4-fluorobenzamide (X). Finally, this compound is acetylated with acetic anhydride/NaOH in water.

参考文献No.416902
标题:FK-960
作者:Graul, A.; Tracy, M.; Casta馿r, J.
来源:Drugs Fut 1997,22(8),830
合成路线图解说明:

This compound can be obtained by two different ways: 1) The acetylation of 1-nitrosopiperazine (I) with acetyl chloride and pyridine in dioxane gives 1-acetyl-4-nitrosopiperazine (II), which is reduced with Zn and acetic acid/water to 1-acetyl-4-aminopiperazine (III). Finally, this compound is acylated with 4-fluorobenzoyl chloride (IV) by means of triethylamine in dichloromethane. 2) The nitrosation of piperazine (V) with NaNO2/HCl in water, followed by condensation with benzyloxycarbonyl chloride (VI) by means of NaOH yields 1-(benzyloxycarbonyl)-4-nitrosopiperazine (VII), which is reduced with Zn and acetic acid/water as before to the corresponding amino derivative (VIII). The acylation of (VIII) with 4-fluorobenzoyl chloride and triethylamine in dichloromethane affords N-[4-(benzyloxycarbonyl)piperazin-1-yl]-4-fluorobenzamide (IX), which is deprotected with HBr in acetic acid to yield N-(1-piperazinyl)-4-fluorobenzamide (X). Finally, this compound is acetylated with acetic anhydride/NaOH in water.

参考文献No.713651
标题:Synthesis of 18F labelled FK960, a candidate anti-dementia drug, and PET studies in conscious monkeys
作者:Murakami, Y.; et al.
来源:J Label Compd Radiopharm 2002,45(14),1219
合成路线图解说明:

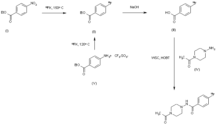
The reaction of 4-nitrobenzoic acid ethyl ester (I) with 18FK in DMSO at 150 C gives 4-18Fluorobenzoic acid ethyl ester (II), which is hydrolyzed with NaOH to yield the corresponding free acid (III) Finally, this compound is condensed with 4-acetylpiperazine-1-amine (IV) by means of WSC and HOBT in DMF to afford the target labeled compound. Alternatively, 4-18Fluorobenzoic acid ethyl ester (II) can also be obtained by reaction ethyl 4-aminobenzoate triflate salt (V) with 18FK in DMSO at 120 C.

Drug Information Express,Drug R&D,Chemical Database,Patent Search.
Copyright © 2006-2026 Drug Future. All rights reserved.Contact Us