【药物名称】Merimepodib, VI-21497, VX-497
化学结构式(Chemical Structure):
参考文献No.34777
标题:Urea derivs. as inhibitors of IMPDH enzyme
作者:Armistead, D.M.; Badia, M.C.; Bemis, G.W.; Bethiel, R.S.; Frank, C.A.; Novak, P.M.; Ronkin, S.M.; Saunders, J.O. (Vertex Pharmaceuticals Inc.)
来源:EP 0902782; US 5807876; US 6054472; WO 9740028
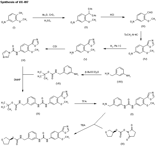
合成路线图解说明:

The oxidation of 3-methoxy-4-methylnitrobenzene (I) with CrO3, H2SO4 and AC2O in acetic acid gives the gem-diacetate (II), which is hydrolyzed with HCl in refluxing dioxane to yield 2-methoxy-4-nitrobenzaldehyde (III). Cyclization of (III) with tosylmethyl isocyanide and K2CO3 in refluxing methanol affords 3-methoxy-4-(5-oxazolyl)nitrobenzene (IV), which is reduced with H2 over Pd/C in ethyl acetate to provide the corresponding aniline (V). The activation of (V) with carbonyldiimidazole (CDI) in THF gives the carboxamide (VI), which is condensed with 3-(tert-butoxycarbonylaminomethyl)aniline (VII), obtained by reaction of 3-aminobenzylamine with Boc2O, and DMAP in refluxing THF to yield the urea (IX). Deprotection of (IX) with TFA in dichloromethane affords the free benzylamine (X), which is finally condensed with the 3-furyl ester of the succinimidyl-activated carbonate (XI) by means of TEA in dichloromethane/DMF.

参考文献No.588667
标题:VX-497
作者:Mart韓, L.; Sorbera, L.A.; Casta馿r, J.; Silvestre, J.S.
来源:Drugs Fut 2000,25(8),809
合成路线图解说明:

The oxidation of 3-methoxy-4-methylnitrobenzene (I) with CrO3, H2SO4 and AC2O in acetic acid gives the gem-diacetate (II), which is hydrolyzed with HCl in refluxing dioxane to yield 2-methoxy-4-nitrobenzaldehyde (III). Cyclization of (III) with tosylmethyl isocyanide and K2CO3 in refluxing methanol affords 3-methoxy-4-(5-oxazolyl)nitrobenzene (IV), which is reduced with H2 over Pd/C in ethyl acetate to provide the corresponding aniline (V). The activation of (V) with carbonyldiimidazole (CDI) in THF gives the carboxamide (VI), which is condensed with 3-(tert-butoxycarbonylaminomethyl)aniline (VII), obtained by reaction of 3-aminobenzylamine with Boc2O, and DMAP in refluxing THF to yield the urea (IX). Deprotection of (IX) with TFA in dichloromethane affords the free benzylamine (X), which is finally condensed with the 3-furyl ester of the succinimidyl-activated carbonate (XI) by means of TEA in dichloromethane/DMF.

参考文献No.701682
标题:Preparation of 5-(2-methoxy-4-nitrophenyl)oxazole: A key intermediate for the construction of VX-497
作者:Wilson, J.D.; Meckler, H.; Herr, R.J.; Fairfax, D.J.
来源:Org Process Res Dev 2002,6(5),677
合成路线图解说明:

The desired intermediate 5-(2-methoxy-4-nitrophenyl)oxazole (IV) has been obtained as follows. The carbonylation of 2-methoxy-4-nitrophenyldiazonium tetrafluoroborate (I) by means of carbon monoxide catalyzed by Pd(OAc)2 and Tes-H in ethyl ether/acetonitrile gives 2-methoxy-4-nitrobenzaldehyde (II), which is cyclized with tosylmethyl isocyanate (III) by means of K2CO3 in refluxing methanol to afford the target intermediate 5-(2-methoxy-4-nitrophenyl)oxazole (IV) (see scheme no. 24362801a, intermediate (IV)).

Drug Information Express,Drug R&D,Chemical Database,Patent Search.
Copyright © 2006-2026 Drug Future. All rights reserved.Contact Us