【药物名称】Rosuvastatin calcium, ZD-4522, S-4522, Crestor
化学结构式(Chemical Structure):
参考文献No.19787
标题:Pyrimidine derivs. as HMG-CoA reductase inhibitors
作者:Hirai, K.; Ishiba, T.; Koike, H.; Watanabe, M. (Shionogi & Co. Ltd.)
来源:EP 0521471; JP 1993178841; US 5260440
合成路线图解说明:

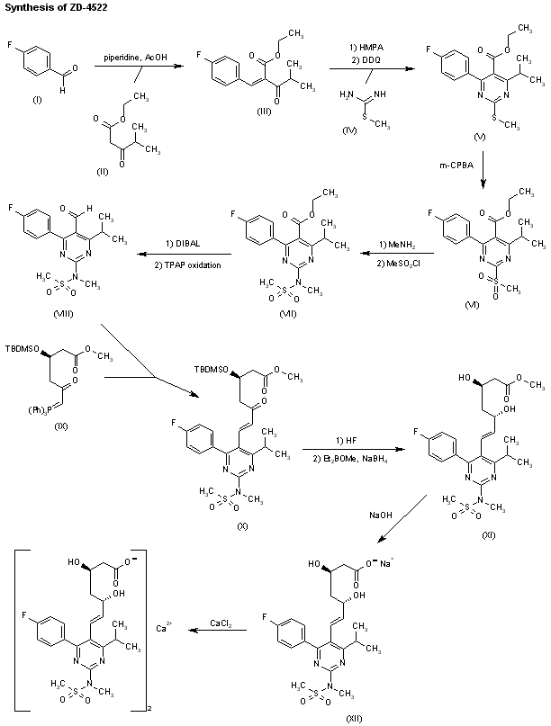
The condensation of 4-fluorobenzaldehyde (I) with 4-methyl-3-oxopentanoic acid ethyl ester (II) by means of piperidine/AcOH in refluxing benzene gives the corresponding benzylidene derivative (III), which is cyclized with S-methylisothiourea (IV) and oxidized with DDQ, affording the pyrimidine derivative (V). The oxidation of (V) with m-chloroperbenzoic acid (m-CPBA) gives the expected methanesulfonyl derivative (VI), which is treated first with methylamine and then with methanesulfonyl chloride to provide the N-methylmethanesulfonamide (VII). The reduction of the ester group of (VII) with DIBAL in toluene, followed by selective oxidation of the resulting alcohol with TPAP, affords the aldehyde (VIII), which is submitted to a Wittig condensation with the phosphorane (IX) in acetonitrile to give the protected heptenoate (X). The deprotection of (X) with FH and the controlled reduction of the resulting keto alcohol with Et2BOMe and NaBH4 affords the chiral dihydroxyheptenoate (XI), which is hydrolyzed with NaOH in ethanol, yielding the corresponding sodium salt (XII). Finally, this compound is treated with calcium chloride.

参考文献No.407609
标题:Synthesis and biological activity of methanesulfonamide pyrimidine- and N-methanesulfonyl pyrrole-substituted 3,5-dihydroxy-6-heptenoates, a novel series of HMG-CoA reductase inhibitors
作者:Watanabe, M.; Koike, H.; Ishiba, T.; Okada, T.; Seo, S.; Hirai, K.
来源:Bioorg Med Chem 1997,5(2),437
合成路线图解说明:

The condensation of 4-fluorobenzaldehyde (I) with 4-methyl-3-oxopentanoic acid ethyl ester (II) by means of piperidine/AcOH in refluxing benzene gives the corresponding benzylidene derivative (III), which is cyclized with S-methylisothiourea (IV) and oxidized with DDQ, affording the pyrimidine derivative (V). The oxidation of (V) with m-chloroperbenzoic acid (m-CPBA) gives the expected methanesulfonyl derivative (VI), which is treated first with methylamine and then with methanesulfonyl chloride to provide the N-methylmethanesulfonamide (VII). The reduction of the ester group of (VII) with DIBAL in toluene, followed by selective oxidation of the resulting alcohol with TPAP, affords the aldehyde (VIII), which is submitted to a Wittig condensation with the phosphorane (IX) in acetonitrile to give the protected heptenoate (X). The deprotection of (X) with FH and the controlled reduction of the resulting keto alcohol with Et2BOMe and NaBH4 affords the chiral dihydroxyheptenoate (XI), which is hydrolyzed with NaOH in ethanol, yielding the corresponding sodium salt (XII). Finally, this compound is treated with calcium chloride.

参考文献No.489462
标题:ZD-4522
作者:Casta馿r, J.; Graul, A.
来源:Drugs Fut 1999,24(5),511
合成路线图解说明:

The condensation of 4-fluorobenzaldehyde (I) with 4-methyl-3-oxopentanoic acid ethyl ester (II) by means of piperidine/AcOH in refluxing benzene gives the corresponding benzylidene derivative (III), which is cyclized with S-methylisothiourea (IV) and oxidized with DDQ, affording the pyrimidine derivative (V). The oxidation of (V) with m-chloroperbenzoic acid (m-CPBA) gives the expected methanesulfonyl derivative (VI), which is treated first with methylamine and then with methanesulfonyl chloride to provide the N-methylmethanesulfonamide (VII). The reduction of the ester group of (VII) with DIBAL in toluene, followed by selective oxidation of the resulting alcohol with TPAP, affords the aldehyde (VIII), which is submitted to a Wittig condensation with the phosphorane (IX) in acetonitrile to give the protected heptenoate (X). The deprotection of (X) with FH and the controlled reduction of the resulting keto alcohol with Et2BOMe and NaBH4 affords the chiral dihydroxyheptenoate (XI), which is hydrolyzed with NaOH in ethanol, yielding the corresponding sodium salt (XII). Finally, this compound is treated with calcium chloride.

Drug Information Express,Drug R&D,Chemical Database,Patent Search.
Copyright © 2006-2026 Drug Future. All rights reserved.Contact Us