【药物名称】RSD-992
化学结构式(Chemical Structure):
参考文献No.43602
标题:Serotonin ligands as pro-erectile cpds.
作者:Hayes, E.S. (Cardiome Pharma Corp.)
来源:WO 0028993
合成路线图解说明:

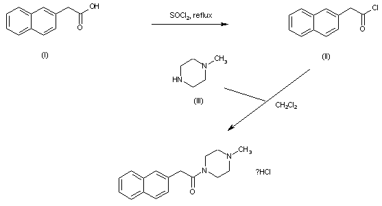
2-(2-Naphthyl)acetic acid (I) is activated as the corresponding acid chloride (II) upon refluxing with SOCl2. Subsequent condensation of acid chloride (II) with N-methyl piperazine (III) affords the title amide.

参考文献No.55755
标题:Aroylpiperazines for modulating sexual activity
作者:Zolotoy, A.B.; Hayes, E.S. (Cardiome Pharma Corp.)
来源:WO 9902159
合成路线图解说明:

2-(2-Naphthyl)acetic acid (I) is activated as the corresponding acid chloride (II) upon refluxing with SOCl2. Subsequent condensation of acid chloride (II) with N-methyl piperazine (III) affords the title amide.

Drug Information Express,Drug R&D,Chemical Database,Patent Search.
Copyright © 2006-2026 Drug Future. All rights reserved.Contact Us