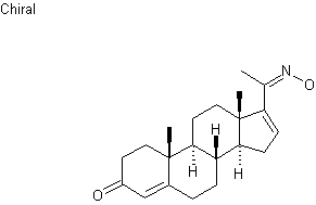
【药物名称】
化学结构式(Chemical Structure):
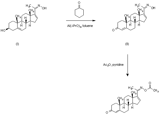
参考文献No.476340
标题:Synthesis and in vitro activity of some epimeric 20alpha-hydroxy, 20-oxime and aziridine pregnene derivatives as inhibitors of human 17alpha-hydroxylase/C17,20-lyase and 5alpha-reductase
作者:Ling, Y.-Z.; Li, J.S.; Kato, K.; Liu, Y.; Wang, X.; Klus, G.T.; Marat, K.; Nnane, I.P.; Brodie, A.M.
来源:Bioorg Med Chem 1998,6(10),1683
合成路线图解说明:

Title compound was obtained by Oppenauer oxidation of 3-beta-hydroxy-5,16-pregnadien-20-oxime (I), with subsequent migration of the double bond, using aluminum isopropoxide and cyclohexanone in toluene.

合成路线图解说明:

Oppenauer oxidation of 3-beta-hydroxy-5,16-pregnadien-20-oxime (I), with subsequent migration of the double bond, using aluminum isopropoxide and cyclohexanone in toluene yielded conjugated ketone (II). Then, acetylation with Ac2O in pyridine provided the target oxime acetate.

Drug Information Express,Drug R&D,Chemical Database,Patent Search.
Copyright © 2006-2026 Drug Future. All rights reserved.Contact Us